✨500 Bài Toán Chọn Lọc 9 (Dùng Chung Cho Các Bộ SGK Hiện Hành) (HA)










500 Bài Toán Chọn Lọc 9 (Dùng Chung Cho Các Bộ SGK Hiện Hành)
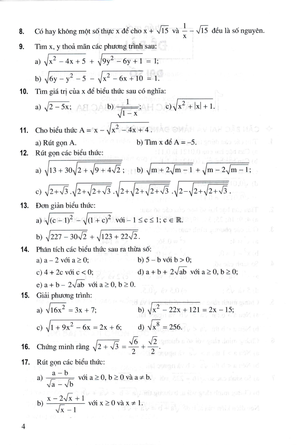
NỘI DUNG SÁCH:
Cuốn sách 500 Bài Toán Chọn Lọc Lớp 9 được biên soạn theo chuẩn kiến thức, kỹ năng chương trình sách giáo khoa lớp 9. Sách tổng hợp 500 bài toán dựa theo chương trình học để các em rèn luyện kỹ năng giải bài tập một cách hiệu quả.
Sách bao gồm:
Đề bài.
Hướng dẫn giải.




Quý Thầy, Cô cùng các em học sinh thân mến, Cuốn sách được biên soạn theo từng bài học và chia làm 3 phần. - Phần 1: Kiến thức cơ bản và ví dụ. -
CAM KẾT VÀ BẢO HÀNH - Đảm bảo và cam kết sản phẩm đúng với mô tả và hình ảnh của shop. - Đổi trả sản phẩm miễn phí trong vòng 7 ngày nếu sản
NỘI DUNG SÁCH Bài 1: Thơ và thơ song thất lục bát Bài 2: Truyện thơ nôm Bài 3: Văn bản thông tin Bài 4: Truyện ngắn Bài 5: Nghị luận xã hội Bài 6:
Với môn toán lớp 6, bộ sách gồm 2 cuốn: Củng cố và ôn luyện Toán 6 (tập 1 và tập 2) Mỗi tập của bộ sách gồm các chương và bài tập bám sát
Nhà cung cấp ndbooks NXB Dân Trí Tác giả Nhiều tác giả Năm XB 2025 khổ 20.5x28.5 Số trang: 144 trang Hệ thống bài tập theo cấp độ từ
Sách - 100 bài phân tích - bình giảng - bình luận văn học (dùng chung cho các bộ sgk hiện hành) - HA Công ty phát hành: Nhà Sách Hồng Ân Nhà xuất bản:
Sách - 36 Bộ Đề Tiếng Anh Theo Cấu Trúc Đề Minh Họa Kì Thi 2025 Luyện Thi THPT Quốc Gia (Dùng Chung Cho Các Bộ SGK Hiện Hành) - HA 36 Bộ Đề Tiếng
1. Sách tự học Toán học lớp 11 tập 1 chương trình mới: + Chương trình chuẩn kết hợp theo cả 3 bộ sách: Cánh Diều, Kết Nối Tri Thức với Cuộc sống và Chân
199 Dàn Bài Và Bài Văn Hay 8 Quý phụ huynh và các em học sinh lớp 8 thân mến! Chúng tôi trân trọng giới thiệu đến quý phụ huynh và các em học sinh
Sách - Phân Loại Và Giải Chi Tiết Các Dạng Bài Tập Toán 8 tập 1 Nội dung của mỗi tiết học đó là các định nghĩa, các công thức toán học, các định lí
SÁCH - Bồi dưỡng học sinh giỏi sinh học 9 (HA) Cuốn sách Bồi dưỡng học sinh giỏi Sinh học 9 được xuất bản nhằm mục đích cung cấp một tài liệu có ích trong
Sách - Combo Hướng Dẫn Học & Giải Các Dạng Bài Tập Toán 7 - Tập 1 + 2 (Bám Sát SGK Kết Nối Tri Thức Với Cuộc Sống) Bộ sách gồm có:
Sách - Phân Loại Và Giải Chi Tiết Các Dạng Bài Tập Toán 8 tập 1 Nội dung của mỗi tiết học đó là các định nghĩa, các công thức toán học, các định
MÔ TẢ SẢN PHẨM Nội dung của mỗi tiết học đó là các định nghĩa, các công thức toán học, các định lí mà mỗi học sinh cần nhớ, đồng thời phải biết vận dụng
Sách - Combo Hướng Dẫn Học & Phương Pháp Giải Toán Lớp 7 - Tập 1 + Tập 2 (Bám Sát SGK Chân Trời Sáng Tạo) Gồm 2 cuốn : Hướng Dẫn Học &
Định Hướng Và Phát Triển Tư Duy Giải Bài Tập Toán Khó Lớp 6 - Tập 2 (Dùng Cho Các Bộ SGK Hiện Hành) Định Hướng Và Phát Triển Tư Duy Giải Bài Tập Toán
Nhà cung cấp ndbooks NXB Dân Trí Tác giả Nhiều tác giả Năm XB 2025 khổ 20.5x28.5 cm Số trang: 116 trang Hệ thống bài tập theo
Sách-Tuyển Tập Đề Kiểm Tra Định Kì Khoa Học Tự Nhiên Lớp 8 (Dùng Chung Cho Các Bộ SGK Hiện Hành) - HA Kiểm tra - đánh giá là một hoạt động không thể thiếu
GLOBAL SUCCESS - Bồi dưỡng học sinh giỏi tiếng anh lớp 8 (có đáp án) Với sứ mệnh giáo dục và truyền đạt kiến thức , chúng tôi hân hạnh giới thiệu bộ sách "
Công ty phát hành Nhà Sách Hồng Ân Năm Xuất Bản 2024 Tác Giả: PGS.TS.NGƯT CAO CỰ GIÁC, NGUYỄN THỊ HOÀI ÂN, NGUYỄN CÔNG CHUNG, TRẦN PHẠM BÁ HẬU Kích Thước 17 × 24 cm
Combo Big 4 Bộ Đề Tự Kiểm Tra 4 Kỹ Năng Nghe - Nói - Đọc - Viết Tiếng Anh (Cơ Bản Và Nâng Cao) 6 Tập 1 + 2 (Bộ 2 Cuốn) Bộ sách
Sách -(Combo)Toán Cơ Bản Và Nâng Cao Lớp 8 (Kết Nối) Cuốn sách Toán Cơ Bản Và Nâng Cao Lớp 8 là tài liệu cung cấp phương pháp giúp các em tự học, tự
Mỗi bài gồm 4 mục: Kiến thức cơ bản: hệ thống những kiến thức cần thiết nhất mà các em phải nắm vững.. Sai lầm cần tránh lưu ý các em những lỗi
Đột Phá Tư Duy Toán Lớp 8 Bí quyết giúp con tăng 500% hứng thú tự học & tăng nhanh điểm kiểm tra trên lớp bằng phương pháp tự học đột phá tư duy Bằng
Phương Pháp Tư Duy Tìm Cách Giải Toán Đại Số 9 (Dùng Chung Cho Các Bộ SGK Hiện Hành) Phương Pháp Tư Duy Tìm Cách Giải Toán Đại Số 9, sách trình bày những
SÁCH ĐỘT PHÁ TƯ DUY KHOA HỌC TỰ NHIÊN - DÙNG CHUNG CHO CẤC BỘ SGK Đột phá tư duy Khoa học tự nhiên 6 không chỉ là một bộ sách mà còn là
SÁCH ĐỘT PHÁ TƯ DUY LỊCH SỬ VÀ ĐỊA LÍ Biến việc học thành một cuộc phiêu lưu thú vị Bám sát chương trình học - Chìa khóa thành công cho mọi kì thi
Sách - Bồi dưỡng học sinh giỏi Toán lớp 7 Bộ sách được biên soạn bởi nhóm tác giả là những thầy cô giáo đã và đang giảng dạy ở các lớp chuyên Toán của
Tác giả: Nhiều tác giả Nhà xuất bản: NXB Dân Trí Đơn vị phát hành: Công ty Cổ phần Tập đoàn Giáo dục và Đào tạo WinEdu Số trang: 176 Bìa Mềm Ngày phát hành:
Bộ sách Big 4 - Bộ đề Tự kiểm tra 4 kỹ năng NGHE – NÓI – ĐỌC – VIẾT được biên soạn theo khung chương trình mới của Bộ Giáo dục và Đào tạo
Tuyển Chọn 171 Bài Văn Hay 8 (Theo Chương Trình Giáo Dục Phổ Thông Mới) Sáchđược biên soạn theo sách giáo khoa Ngữ Văn 8 – Chương trình mới nhất của Bộ Giáo dục và
Cuốn sách gồm các chuyên đề sau : Chuyên đề 1. Biền đổi đồng nhất Chuyên đề 2. Biến đổi căn thức Chuyên đề 3. Xác định đa thức Chuyên đề 4. Hệ phương trình
Sách - Giải Bằng Nhiều Cách Các Bài Toán Lớp 9 (Dùng Chung Cho Các Bộ SGK Hiện Hành) - HA Trong học toán và giải toán, việc tìm những lời giải khác nhau cho
Giới Thiệu Sách: Cuốn Sách 7 Chủ đề toán thực tế đặc sắc (Giúp chinh phục kì thi tuyển sinh vào lớp 10). 7 CHỦ ĐỀ TOÁN THỰC TẾ ĐẶC SẮC - Giúp
Nhà xuất bản Dân Trí Tác giả Nhiều tác giả Năm XB 2025 Khổ sách 20.5x28.5 cm Số trang: 112 trang Nội dung kiến thức Bao quát các chuyên đề:
Nhà cung cấp ndbooks Nhà xuất bản Dân Trí Tác giả Nhiều tác giả Năm XB 2025 Khổ sách 20.5x28.5 cm Số trang: 112 trang Nội dung
Sách - 155 bài làm văn chọn lọc 9 Bạn đọc thân mến, “155 Bài làm văn chọn lọc 9” được biên soạn trên cơ sở Chương trình Ngữ văn Trung học cơ sở hiện
Sách - Những đề & bài văn nghị luận theo hướng mở (dùng chung các bộ sgk hiện hành) - HA Làm văn là một phần quan trọng của môn học Ngữ văn. Làm văn
Sách -(Combo)Toán Cơ Bản Và Nâng Cao Lớp 9(Kết Nối) Cuốn sách Toán Cơ Bản Và Nâng Cao Lớp 9 là tài liệu cung cấp phương pháp giúp các em tự học, tự rèn
Bắt đầu từ năm học 2023-2024 học sinh lớp 8 học theo chương trình sách giáo khoa mới. Sách giáo khoa mới nhấn mạnh đến rèn luyện tinh thần tự học của học sinh. Nội
Sách - 155 bài làm văn chọn lọc 9 + ha Bạn đọc thân mến, “155 Bài làm văn chọn lọc 9” được biên soạn trên cơ sở Chương trình Ngữ văn Trung học cơ
Định Hướng Và Phát Triển Tư Duy Giải Bài Tập Toán Khó Lớp 9 - Tập 1 (Dùng Chung Cho Các Bộ SGK Hiện Hành) “Định hướng và phát triển tư duy giải bài
Hướng Dẫn Học Tốt Ngữ Văn 9 - Tập 1 (Bám Sát SGK Cánh Diều) Mặc dù đã đồng hành cùng với chủ trương lớn của Đảng, Nhà nước - thay đổi sách
Sách - Học Tốt Khoa Học Tự Nhiên 9 (Dùng Kèm SGK Cánh Diều) - HA Quý thầy, cô, các bậc phụ huynh và các em học sinh thân mến! Sách giáo khoa Khoa học
MÔ TẢ SẢN PHẨM Sách - Học Tốt Khoa Học Tự Nhiên 9 (Dùng Kèm SGK Cánh Diều) - HA Quý thầy, cô, các bậc phụ huynh và các em học sinh thân mến! Sách
Phân Loại Và Giải Chi Tiết Các Dạng Bài Tập Toán Lớp 6 Tập 2 (Bám Sát SGK Kết Nối Tri Thức Với Cuộc Sống) Phân Loại Và Giải Chi Tiết Các Dạng Bài Tập
Nhà xuất bản : Đại Học Quốc Gia hà Nội Trang : 272 Năm xuất bản : 2022 Tác giả : nhiều tác giả Nhà phát hành : Nhà sách hồng ân Sách -
Phương Pháp Giải Toán Bất Đẳng Thức Và Cực Trị Cuốn sách Phương Pháp Giải Toán Bất Đẳng Thức Và Cực Trị do nhóm tác giả Nguyễn Văn Dũng, Võ Quốc Bá Cẩn, Trần Quốc
Kĩ Năng Giải Toán Căn Bản Và Mở Rộng Lớp 7 - Tập 1 (Dùng Chung Cho Các Bộ SGK Hiện Hành) Bộ sách Kĩ Năng Giải Toán Căn Bản Và Mở Rộng Lớp 7 được
Sách - ôn tập kiểm tra nâng cao và phát triển năng lực ngữ văn 7 thuộc bộ sách này được viết bám sát theo chương trình mới của Bộ Giáo dục và Đào tạo,
Cuốn sách gồm các chuyên đề sau : Chuyên đề 1. Biền đổi đồng nhất Chuyên đề 2. Biến đổi căn thức Chuyên đề 3. Xác định đa thức Chuyên đề 4. Hệ phương trình
MÔ TẢ SẢN PHẨM Hướng Dẫn Trả Lời Câu Hỏi Khoa Học Tự Nhiên 9 (dùng kèm SGK Kết nối tri thức với cuộc sống): Nhằm giúp quý Thầy, Cô, các bậc phụ huynh và
Sách - Giới thiệu bộ đề thi môn tiếng anh tốt nghiệp THPT (theo chương trình GDPT mới - áp dụng từ năm 2025) - HA Các em học sinh thân mến! Cuốn sách Giới
MÔ TẢ SẢN PHẨM Hướng Dẫn Trả Lời Câu Hỏi Khoa Học Tự Nhiên 9 (dùng kèm SGK Kết nối tri thức với cuộc sống): Nhằm giúp quý Thầy, Cô, các bậc phụ huynh và
Sách - ôn tập kiểm tra nâng cao và phát triển năng lực ngữ văn 7 thuộc bộ sách này được viết bám sát theo chương trình mới của Bộ Giáo dục và Đào tạo,
Chương trình Ngữ văn lớp 8 theo định hướng phát triển năng lực 2018 có nhiều thay đổi khi sử dụng ba bộ sách giáo khoa khác nhau. Sau thành công của 2 cuốn Bồi
Bài tập tiếng Anh lớp 7 (không đáp án) Sách bài tập tiếng anh lớp 7 được biên soạn dành cho học sinh lớp 7, do Nhà xuất bản Đại học Quốc gia Hà Nội
Chương trình Ngữ văn lớp 8 theo định hướng phát triển năng lực 2018 có nhiều thay đổi khi sử dụng ba bộ sách giáo khoa khác nhau. Sau thành công của 2 cuốn Bồi
Nhà cung cấp ndbooks NXB Dân Trí Tác giả Nhiều tác giả Năm XB 2025 khổ 20.5x28.5 cm Số trang: 96 trang Hệ thống bài tập theo
Công ty phát hành: Dn Tư Nhân Thương Mại Toàn Phúc Nhà xuất bản: NXB Đà Nẵng Tác giả: Nhiều Tác Giả Loại bìa: Bìa Mềm Số trang: 288 Năm xuất bản: 2021
👁️ 22 | ⌚2025-09-22 06:00:02.684


Vũ trụ và các hành tinh đã được hình thành như thế nào? Có hay không một loài hoa tồn tại 2000 năm tuổi? Vì sao chúng ta có thể nổi trên biển Chết? Hải
Cuốn Sách Lớn Đầu Tiên Của Tớ - Đại Dương - Bìa Cứng Thế giới có muôn vàn điều kì thú và bộ sách Cuốn Sách Lớn Đầu Tiên của Tớ sẽ dẫn bé bước
Sống Mãi Với Thủ Đô Sống mãi với Thủ đô là thiên sử thi hào hùng bi tráng về cuộc chiến đấu bảo vệ Thủ đô sau ngày toàn quốc kháng chiến (năm 1946) của
Quý Thầy, Cô cùng các em học sinh thân mến, Cuốn sách được biên soạn theo từng bài học và chia làm 3 phần. - Phần 1: Kiến thức cơ bản và ví dụ. -
Từ ngày ấy, Đắc Nhân Tâm trở thành cuốn sách không-chịu-nằm-yên-trên-kệ. Ngoài ý được tái bản liên tục ở khắp nơi trên thế giới, thì cụm từ này còn có một ý khác, đó là
Người Kể Chuyện Trên Báo “Cuốn sách là một cẩm nang thực hành với nhiều hướng dẫn và gợi ý được rút từ các trải nghiệm cá nhân và của các đồng nghiệp cũng như
Cuộc Chơi Làm Công Trong thế giới của những người làm công, mỗi ngày là một bàn cờ và mỗi bước đi là một nước cờ chiến thuật. “Cuộc chơi làm công: Nghệ thuật làm
Chân Dung Tội Ác - Nhân Dạng - Tâm Quỷ - Phân tích tâm lý học tội phạm từ những vụ án có thật! - “Đôi khi, để nhìn thấy diện mạo của quỷ dữ,
Mùa Thu Hoạch Xương Haiti và Cộng hòa Dominicana, hai quốc gia láng giềng trên cùng một hòn đảo vùng Ca-ri-bê, năm 1937, Amabelle sống cuộc đời bình lặng của một cô hâu gái người
CAM KẾT VÀ BẢO HÀNH - Đảm bảo và cam kết sản phẩm đúng với mô tả và hình ảnh của shop. - Đổi trả sản phẩm miễn phí trong vòng 7 ngày nếu sản
- Phụ kiện TD sử dụng công nghệ mạ điện Electroplating, khác biệt hoàn toàn so với những sản phẩm khác trên thị trường - Phụ kiện TD phù hợp với những sản phẩm bằng
- Bộ công tắc đơn 1 chiều 16AX, có đèn LED, Schneider Electric dòng AvatarOn các mặt che công tắc có thể thay đổi dễ dàng giúp bạn thể hiện phong cách cho từng không
Bình Nước Thủy Tinh Luminarc Octime 1.1L - G2664 - Dung tích: 1.1 L. - Chất liệu: thuỷ tinh Sodo trong suốt, chịu nhiệt. Sản phẩm bình thuỷ tinh đựng nước Luminarc Octime 1.1L sở
Sách Thế Giới Trong Bạn - J. Krishnamurti ------------ Thiền định phải dựa trên tư duy đúng đắn, chứ không dựa trên những công thức đơn thuần, dù cao quý đến đâu đi nữa.
Trở Thành Người Phụ Nữ Ai Cũng Muốn Lại Gần Nhà xuất bản : Nhà Xuất Bản Văn Học. Công ty phát hành : Bluebooks. Tác giả : Tô Mạn. Kích thước : 14.5 x
Chậm Một Chút Thôi (Tái bản năm 2023) Nhà xuất bản : Nhà Xuất Bản Hồng Đức. Công ty phát hành : Văn Lang. Tác giả : Nina Kim. Kích thước : 13.5 x 19
Cuốn sách viết về các bệnh lý tâm thần như trầm cảm, rối loạn ăn uống, ám ảnh cưỡng chế, sợ hãi phi lý, hoang tưởng… thường gặp ở những người trẻ đang trong quá
Giới thiệu về sách “HIẾU KÍNH – GIÁ TRỊ ĐẠO ĐỨC NGÀN ĐỜI” Có người chưa từng làm cha mẹ nhưng chắc chắn rằng ai cũng đã làm con. Chúng ta có được thân người
Giới thiệu về cuốn sách “Tịnh Độ Tại Nhân Gian” Trong bối cảnh xã hội hiện đại với vô vàn biến động, bất an và đau khổ, con người thường tìm kiếm những giải pháp
Khoảnh Khắc Thức Tỉnh - Hành Trình Đi Tìm Tình Yêu Và Ý Nghĩa Cuộc Sống Khoảnh Khắc Thức Tỉnh - Hành Trình Đi Tìm Tình Yêu Và Ý Nghĩa Cuộc Sống là cuốn sách làm