✨Bồi Dưỡng Năng Lực Toán 8 - Tập 1













Bồi Dưỡng Năng Lực Toán 8 - Tập 1
Bắt đầu từ năm học 2023-2024 học sinh lớp 8 học theo chương trình sách giáo khoa mới. Sách giáo khoa mới nhấn mạnh đến rèn luyện tinh thần tự học của học sinh. Nội dung nhấn mạnh đến tính thực tế và ứng dụng toán học trong đời sống. Ngoài ra còn có một số dạng toán mới mà sách cũ không có.
Cấu trúc sách gồm:
A. Tóm tắt lý thuyết: lý thuyết được tóm tắt ngắn gọn, dễ hiểu
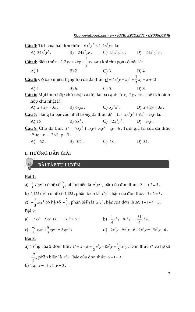
B. Các dạng toán: Các dạng toán được giải chi tiết và có lời bình
C. Bài tập tự luyện: Các dạng bài tập trọng tâm từng bài được sắp theo thứ tự từ dễ đến khó để học sinh rèn luyện
D. Bài tập trắc nghiệm: các câu hỏi trắc nghiệm quan trọng học sinh cần giải để hiểu bài tốt nhất
E. Hướng dẫn giải bài tập tự luyện - Bài tập trắc nghiệm




Công ty phát hành: Medinsights Tác giả: Stephanie Leach Kích thước: 16x22cm Hình thức: Bìa mềm, tay gấp Số trang: 212 NXB: NXB Thế Giới Năm xuất bản: 2023 Nước ép là một trong những
Tại Sao Lời Bạn Nói Lại Khiến Tôi Không Vui Bản tính của con người được thể hiện thông qua cách chúng ta đối thoại với người khác. Trong bất kỳ trường hợp nào, chúng
Độc Tôn Để Trường Tồn 51 bí quyết tạo dựng vị thế độc tôn trong lĩnh vực kinh doanh ẩm thực Cuộc đời của con người chỉ kéo dài khoảng 100 năm, và thời đại
Sức Mạnh Của Sự Túng Quẫn Daymond là một Shark nổi tiếng trong Shark Tank của Mỹ, nhà sáng lập thương hiệu thời trang đường phố FUBU. Trước khi có được thành công như hiện
Càng Cảm Tính, Càng Thất Bại Nhà xuất bản : Nhà Xuất Bản Thế Giới. Công ty phát hành : Oceanbooks. Tác giả : Tùy Vinh Hoa. Kích thước : 14.5 x 20.5 cm. Số
BQ - Trí Tuệ Thể Chất
Họ cho rằng muốn kiếm được nhiều tiền thì phải bóc lột người khác, và cách tốt nhất để rửa sạch vết nhơ đã gây ra là hãy cho đi thật nhiều. Trong cuốn sách
“Đừng lười biếng nữa!” Chắc hẳn đôi lúc bạn sẽ nghe ba mẹ nói vậy khi đang mải mê đắm chìm trong trò chơi nào đó. Hoặc cũng có thể bạn sẽ nghe được những
TÁC GIẢ: Peter Suber Dịch giả: Kim Ngân THÔNG TIN XUẤT BẢN: Giá bìa: 169.000 Kích thước: 13x19 Số trang: 300 Mã EAN: 8936066695077 NXB liên kết: NXB Dân Trí Sách do Công ty TNHH
Cuốn sách này được viết nhằm mục đích rất đơn giản: thay đổi những quan niệm về phương pháp học tập nhằm tạo ra một phong cách học tập nhanh, hiệu quả, toàn diện, có
Tác giả: Brian Dixon Người dịch: Bùi Thị Bích Phương THÔNG TIN XUẤT BẢN: Kích thước khổ: 13x20,5 Số Trang: 340 Giá bìa: 169.000 vnđ Mã EAN: 8936066694186 NXB liên kết: NXB Lao Động Sách
Tác giả: Toby Mathis Người dịch: Đỗ Minh Khánh THÔNG TIN XUẤT BẢN: Kích thước khổ: 13x20,5 Số Trang: 356 Mã EAN: 8936066693936 NXB liên kết: NXB Công Thương Sách do Công ty 1980 BOOKS
Nhà phát hành: First News - Trí Việt Tác Giả: Nhiều tác giả Ngày phát hành: 2023 Số trang: 320 Kích thước:14,5 x 20.5 cm NXB:NXB Dân Trí Xuất xứ: Trong nước Ngôn ngữ: Tiếng
Tác giả: Brian Tracy Người dịch: Lương Như Ý THÔNG TIN XUẤT BẢN: Kích thước khổ: 13x19 Số Trang: 308 Giá bìa: 169.000 vnđ Mã EAN: 8936066693431 NXB liên kết: NXB Dân Trí Sách do
Sức Mạnh Thuyết Phục (Tái bản năm 2023) Nhà xuất bản : Nhà Xuất Bản Thế Giới. Công ty phát hành : Alphabooks. Tác giả : Kurt W. Mortensen. Kích thước : 13 x 20.5
Tư Duy Logic Rèn Luyện Thuyết Phục Trong Giao Tiếp Khi giao tiếp và truyền đạt suy nghĩ của bạn với người khác, nếu không có tính logic, lời nói của bạn sẽ là chướng
Sách - You are a Mogul - Chinh phục những điều bất khả Mã hàng 8936158591249 Tên Nhà Cung Cấp Alpha Books Tác giả Tiffany Phạm NXB NXB Thế Giới Năm XB 2020 Trọng lượng
Tác giả: Brian Dixon Người dịch: Bùi Thị Bích Phương THÔNG TIN XUẤT BẢN: Kích thước khổ: 13x20,5 Số Trang: 340 Mã EAN: 8936066694186 NXB liên kết: NXB Lao Động Sách do Công ty 1980
Combo Sách Chưa Kịp Lớn Đã Phải Trưởng Thành + Trưởng Thành Không Đau (Bộ 2 Cuốn) 1. Chưa Kịp Lớn Đã Phải Trưởng Thành Tớ là Mây tên thật là Trịnh Thanh Vân, là
Tác giả: Brian Dixon Người dịch: Bùi Thị Bích Phương THÔNG TIN XUẤT BẢN: Kích thước khổ: 13x20,5 Số Trang: 340 Giá bìa: 169.000 vnđ Mã EAN: 8936066694186 NXB liên kết: NXB Lao Động Sách
Tác giả: Michael Nicholas Người dịch: Thu Trang THÔNG TIN XUẤT BẢN: Kích thước khổ: 13x20,5 Số Trang: 360 Giá bìa: 169.000 vnđ Mã EAN: 8936066693950 NXB liên kết: NXB Dân Trí Sách do Công
THÔNG TIN CHI TIẾT Công ty phát hành First News - Trí Việt Tác giả: Nhiều Tác Giả Ngày xuất bản: 2022 Kích thước 16 x 24 cm Nhà xuất bản Nhà Xuất Bản Tổng
Cuốn sách này dành cho tất cả những ai muốn làm việc ít hơn nhưng có hiệu quả hơn. Đến với sách này, bạn sẽ khám phá một công cụ đơn giản và hiệu quả:
Công ty phát hành: First News - Trí Việt Tác Giả: Nguyễn Chí Linh Ngày phát hành: 2020 Số trang: 504 Kích thước: 13 x 16.5 cm Nhà xuất bản: NXB Tổng Hợp Giá bìa:
Nhà phát hành: First News - Trí Việt Tác Giả: Nhiều tác giả Ngày phát hành: 2023 Số trang: 320 Kích thước:14,5 x 20.5 cm NXB:NXB Dân Trí Xuất xứ: Trong nước Ngôn ngữ: Tiếng
Nhà phát hành: First News - Trí Việt Tác giả: Stephen R. Covey NXB: NXB Tổng Hợp TPHCM Kích Thước: 16 x 24 cm Số trang: 272 Hình thức: Bìa Mềm Xuất xứ: Trong nước
Càng Cảm Tính, Càng Thất Bại Tại sao m.ình không có ý như vậy nhưng lại bị người khác hiểu lầm? Tại sao m.ình lại dễ tức giận như vậy? Tại sao không thể kiểm
Sau thành công của cuốn sách Hộ Chiếu Xanh đi quanh thế giới: Những bước để trở thành công dân toàn cầu, Hộ Chiếu Xanh đã quay trở lại với một phiên bản mới trẻ
Truyền Sao Cho Thông
Tác giả: Brian Tracy Người dịch: Lương Như Ý THÔNG TIN XUẤT BẢN: Kích thước khổ: 13x19 Số Trang: 308 Giá bìa: 169.000 vnđ Mã EAN: 8936066693431 NXB liên kết: NXB Dân Trí Sách do
Tác Giả: Nguyên Phong Ngày phát hành:21.05.2020 Công ty phát hành: First News - Trí Việt Số trang:408 Kích thước:14,5 x 20.5 cm NXB:NXB Tổng hợp Giá bìa: 168.000VND Loại Bìa: Bìa mềm Mô tả
Bạn có bao giờ thấy khó khăn khi nhắc nhở bản thân về những điều ngu ngốc đã lỡ nói rất lâu trước đây? Bạn có cần phải lên kế hoạch để suy diễn những
Công ty phát hành: First News Tác Giả: Dr. Shozo Hibino Ngày phát hành:2020 Số trang:408 Kích thước:16 x 24 cm NXB:NXB Tổng hợp Giá bìa: 168.000VND Mô tả sản phẩm: “Tư duy đột phá’
Cân Bằng Cảm Xúc Mọi Lúc Mọi Nơi Nhà xuất bản : Nhà Xuất Bản Công Thương. Công ty phát hành : Alphabooks. Tác giả : Daniel Rutley. Kích thước : 13 x 20.5 cm.
Không Giới Hạn - Khám Phá Ho'oponopono "KHÔNG GIỚI HẠN là câu chuyện về sự trở về trạng thái zero, nơi không một thứ gì tồn tại nhưng mọi thứ đều khả dĩ. Ở trạng
Tác giả: Anne Bogel Người dịch: Lương Như Ý THÔNG TIN XUẤT BẢN: Kích thước khổ: 13x19 Số Trang: 304 Giá bìa: 169.000 vnđ Mã EAN: 8936066694599 NXB liên kết: NXB Thanh Niên Sách do
Tác Giả: John Doerr Công ty phát hành: First News - Trí Việt Ngày phát hành: 2023 Số trang: 296 Kích thước:16 x 24 cm NXB:NXB Tổng hợp Giá bìa: 168.000 VND Loại Bìa: Bìa
Marketing Du Kích Trong 30 Ngày (Tái Bản) Marketing du kích: Cách xây dựng thương hiệu và phát triển doanh nghiệp chỉ với ngân sách khiêm tốn. Có thể nói rằng chưa bao giờ Việt
Tác giả: Helen Fisher Dịch giả: Nguyễn Trường Giang Nhà xuất bản: Hà Nội Số trang: 472 Kích thước: 14 x 20.5 cm Ngày phát hành: 03-2021 "Tại sao là người ấy? đã phân tích
Triết Lý Sống Pantsdrunk - Chill Như Người Phần Lan Sau một tuần làm việc vất vả, hãy thoải mái dẹp hết mọi kế hoạch – và vứt luôn quần áo – rồi đóng cửa,
Sau khi thất bại trong nhiều mối quan hệ và dự án, Brian Dixon quyết tâm khám phá bí quyết để hạnh phúc trong công việc mà sống một cuộc đời có ý nghĩa. Trong
“Chỉ trong một giờ đồng hồ, tôi có thể là người trẻ con, độc đoán, sâu sắc, nông cạn, dối lừa, thao túng, trắc ẩn… danh sách này còn dài. Tôi thay đổi tùy theo
Tranh Biện Sao Cho Đúng? Nhà xuất bản : Nhà Xuất Bản Thế Giới. Công ty phát hành : Alphabooks. Tác giả : Juseung Yi. Kích thước : 14.5 x 20.5 x 1.5 cm. Số
Từ ngày ấy, Đắc Nhân Tâm trở thành cuốn sách không-chịu-nằm-yên-trên-kệ. Ngoài ý được tái bản liên tục ở khắp nơi trên thế giới, thì cụm từ này còn có một ý khác, đó là
Bộ sách là cẩm nang để thành công trong rất nhiều lĩnh vưc từ học hành đến công việc và cuộc số Bộ sách gồm 2 cuốn: 1. Người Giỏi Không Bởi Học Nhiều Người
Bài Học Phần Lan 2.0 (Tái Bản 2017) là câu chuyện về quá trình xây dựng nền sư phạm Phần Lan trong 4 thập kỷ qua. Tác giả nhấn mạnh vào các giải pháp mang
Đi tìm lẽ sống của Viktor Frankl là một trong những quyển sách kinh điển của thời đại. Thông thường, nếu một quyển sách chỉ có một đoạn văn, một ý tưởng có sức mạnh
Sức Mạnh Của Thói Quen - The Power Of Habit Về cơ bản, người lớn và trẻ em không khác nhau là mấy. Bởi hầu hết những hành động hàng ngày của chúng ta đều
Cuốn sách này được viết nhằm mục đích rất đơn giản: thay đổi những quan niệm về phương pháp học tập nhằm tạo ra một phong cách học tập nhanh, hiệu quả, toàn diện, có
Bản tính của con người được thể hiện thông qua cách chúng ta đối thoại với người khác. Trong bất kỳ trường hợp nào, chúng ta đều có thể lựa chọn thái độ khi trò
Giải Mã Siêu Trí Tuệ Nhà xuất bản : Nhà Xuất Bản Công Thương. Công ty phát hành : Alphabooks. Tác giả : Vishen Lakhiani. Kích thước : 15 x 23 cm. Số trang :
Tác giả: Kosuke HaDa Người dịch: Lại Minh Tâm THÔNG TIN XUẤT BẢN: Kích thước khổ: 13x20,5 Số Trang: 352 Mã EAN: 8936066693714 NXB liên kết: NXB Công Thương Sách do Công ty 1980 BOOKS
TÁC GIẢ: Peter Suber Dịch giả: Kim Ngân THÔNG TIN XUẤT BẢN: Giá bìa: 169.000 Kích thước: 13x19 Số trang: 300 Mã EAN: 8936066695077 NXB liên kết: NXB Dân Trí Sách do Công ty TNHH
Cuốn sách này được viết nhằm mục đích rất đơn giản: thay đổi những quan niệm về phương pháp học tập nhằm tạo ra một phong cách học tập nhanh, hiệu quả, toàn diện, có
Hùng Biện Như Một Chuyên Gia Kỹ năng thuyết trình là một kỹ năng cần thiết đối với bất cứ ai. Trong cuốn sách này, Tiến sĩ Laura Sicola sẽ hướng dẫn cách để tạo
Tác giả: Michael Nicholas Người dịch: Thu Trang THÔNG TIN XUẤT BẢN: Kích thước khổ: 13x20,5 Số Trang: 360 Giá bìa: 169.000 vnđ Mã EAN: 8936066693950 NXB liên kết: NXB Dân Trí Sách do Công
Combo Sách Chưa Kịp Lớn Đã Trưởng Thành (Tái Bản 2023) + Trưởng Thành Không Đau (Bộ 2 Cuốn) 1. Chưa Kịp Lớn Đã Trưởng Thành (Tái Bản 2023) Chúng ta của hiện tại, đều
“Chúng ta có thể chọn cách tin tưởng giá trị của mình, bất kể tóc bạn dày hay mỏng, bất kể da bạn sáng hay tối màu, bất kể bạn thích trang điểm đậm hay
Vở 4 ô ly 48 trang School Animal Hồng Hà 0560 phù hợp cho học sinh tiểu học, tập viết chữ. Giấy trắng tự nhiên, bề mặt giấy láng mịn, viết êm tay, tạo nét
Công ty phát hành Nhã Nam Tác giả Nguyễn Văn Huyên Ngày xuất bản 12-2017 Kích thước 15 x 24 cm Nhà xuất bản Nhà Xuất Bản Thế Giới Loại bìa Bìa mềm Số trang
👁️ 43 | ⌚2025-09-23 20:30:02.491


Bộ não con người có những khả năng tuyệt vời, nhưng nó lại không kèm hướng dẫn sử dụng. Bạn sẽ tìm thấy hướng dẫn sử dụng ấy trong A Mind for Numbers – Cách
Kỹ năng tối ưu hóa hiệu quả đầu tư với quy tắc “Tam giác vàng quản lý tài chính” "Tam giác vàng quản lý tài chính" nghĩa là chi phí sinh hoạt chung chiếm 60%
Công ty phát hành: Alpha Books Nhà xuất bản: NXB Công Thương Tác giả: Tilman Ferrtitta Khổ sách: 16*24 cm Số trang: 200 Hình thức: Bìa mềm, tay gấp Năm xuất bản: 2023 Cuốn sách
Kaizen - Cải Tiến Hiện Trường, Hiệu Quả Tức Thì - Thực Hành Kaizen Trong Doanh Nghiệp Việt Kaizen hay “sự cải tiến liên tục” là triết lý mà người Nhật đã áp dụng trong
Thế giới đã biến đổi sâu sắc kể từ khi cuốn 7 Thói quen để Thành đạt (The 7 Habits of Highly Effective People) được xuất bản lần đầu tiên năm 1989. Tuy nhiên, yêu
Cuốn sách này được viết nhằm mục đích rất đơn giản: thay đổi những quan niệm về phương pháp học tập nhằm tạo ra một phong cách học tập nhanh, hiệu quả, toàn diện, có
TÁC GIẢ: Eliza Savage Dịch giả: Lê Hồng Phương Hạ THÔNG TIN XUẤT BẢN: Giá bìa: 169.000 Kích thước: 13x19 Số trang: 299 Mã EAN: 8936066697699 NXB liên kết: NXB Thanh Niên Sách do Công
Công ty phát hành: Medinsights Tác giả: Stephanie Leach Kích thước: 16x22cm Hình thức: Bìa mềm, tay gấp Số trang: 212 NXB: NXB Thế Giới Năm xuất bản: 2023 Nước ép là một trong những
Mô tả: Con người được lập trình để tìm kiếm “những phần thưởng” cũng như được lập trình để tránh “rủi ro và mất mát”. Hủy diệt và bị bỏ rơi là những trạng thái
Mô tả: Giới thiệu sách: Cách đây không lâu, Levis Strauss, Xerox, Crest, AT&T, và Firestone đều thống trị thị trường riêng của họ. Nhưng điều gì đã xảy ra khiến họ và những thương
Sách - Factopia – 400 điều sửng sốt nơi Xứ Sự Thật Công ty phát hành: Alpha Books Nhà xuất bản: Nxb Thế Giới Tác giả: Kate Hale viết lời, Andy Smith minh họa Hình
Chuyện Lẩu Cua tưởng chừng chỉ là một câu chuyện hư cấu, nhưng tất cả đều dựa trên những sự việc có thật xảy ra tại Mekong Capi-tal. Tôi sang tác câu chuyện đó vào
Mô tả: Giới thiệu sách: Cách đây không lâu, Strauss, , Crest, AT&T, và Firestone đều thống trị thị trường riêng của họ. Nhưng điều gì đã xảy ra khiến họ và những thương hiệu
Công ty phát hành: Alphabooks Tác Giả: Rockridge Press Nhà xuất bản: NXB Thế Giới Năm xuất bản: 2023 Quy cách: Bìa mềm Kích thước: 16 x 22 cm Số trang: 196 1. Nội dung
Cuốn Sách Hay Về Lịch Sử: Thép Đã Tôi Thế Đấy! Thép Đã Tôi Thế Đấy không phải là một tác phẩm văn học chỉ nhìn đời mà viết. Tác giả sống nó rồi mới
1000 Bộ Não - Lý Thuyết Mới Về Trí Tuệ Con Người NỘI DUNG SÁCH: Phần 1: Hiểu biết mới về não bộ. Dù đã có những tiến bộ vượt bậc trong nhiều năm qua,
Bốn Mùa Trên Xứ Phù Tang Tập Du Kí Đầy Mỹ Cảm Của Một "Phượt Thủ" Từng Đi Qua Hơn 90 Quốc Gia Cuốn sách không thể thiếu với những ai yêu thích con người
Mô tả: I. AI NÊN ĐỌC CUỐN SÁCH NÀY (đối tượng độc giả và những nỗi đau, lo lắng của họ) Nhân viên văn phòng: Đây là đối tượng chính mà cuốn sách hướng đến,