✨Giới Thiệu Đề Thi Lớp 9 Vào Lớp 10 Môn Toán Chuyên












Giới Thiệu Đề Thi Lớp 9 Vào Lớp 10 Môn Toán Chuyên
Sách tổng hợp các đề thi của các tỉnh thành trên cả nước.




Giá bộ: 206.000 VNĐ -------------- 1. HÀNH TRÌNH VỀ PHƯƠNG ĐÔNG Tác Giả: Nhiều tác giả Công ty phát hành: First News - Trí Việt Ngày phát hành: 2022 Số trang: 256 Kích thước: 14.5
Một Muỗng Thiền “Con người được sinh ra không chỉ như một giống loài bám đất, làm những công việc mưu sinh tích cóp vật chất duy trì sự sống qua ngày; nhưng con người
Tác giả: Patrick Ness Dịch giả: Trần Nguyên Nhà xuất bản: Hội nhà văn Số trang: 508 Kích thước: 15.5x24 cm Ngày phát hành: 09-2022 Hòng chạy thoát khỏi một đội quân không khoan nhượng,
Quản Trị Rủi Ro Xí Nghiệp Trong Nền Kinh Tế Toàn Cầu Ngày nay, tốc độ toàn cầu hóa và hội nhập kinh tế quốc dân diễn ra với tốc độ nhanh so với các
BÁN LẺ GIÁ SỈ Chú Ý Khi Đặt Hàng Nhớ Chọn Lấy Mã Miễn Phí Vận Chuyển Và Áp Dụng Mã Miễn Phí Vận Chuyển Bạn Nhé !! Hàng Shop Gửi Đi Cho Khách Gói
máy bơm chìm mini,bơm dầu mini 12V, 24V - bơm chìm 12V, 24V ứng dụng máy: bơm nước , hút dầu , bơm nhiên liệ sử dụng điện áp 12V, 24V nên rất an toàn
Ta đến đâu để tìm được niềm vui? Tiêu chuẩn chính xác để đo lường thành công là gì? Làm sao để kiểm soát cơn thịnh nộ? Làm sao để hiểu được ý nghĩa cuộc
Các phép toán, công thức và các vấn đề liên quan đến tài chính doanh nghiệp có thể gây khó khăn cho những người mới bắt đầu. Với các giải thích và ví dụ dễ
Tự do có ý nghĩa như thế nào với con người hiện đại? Tự do của con người đã, đang và sẽ luôn là một vấn đề nóng hổi, thu hút sự quan tâm và
Ngay cả những người bình thường nhất và tử tế nhất cũng có thể trở thành những kẻ thủ ác gây nên những hành vi tàn bạo vượt ngoài luân lý thông thường. Hiệu ứng
Tà Tâm, Tội Ác Và Thao Túng Bạn đã từng tò mò về về những tên giáo chủ khét tiếng đã gây ra nhiều tội ác không thể tha thứ chưa? Bạn có muốn tìm
--- Công ty phát hành: First News - Trí Việt Tác Giả: Bác Sĩ Phạm Ngọc Thanh Ngày phát hành: 2020 Số trang: 200 trang Kích thước: 19 x 26 cm Nhà xuất bản: NXB
1.SỰ SỐNG BẮT ĐẦU TỪ ĐÂU? Công ty phát hành: First News - Trí Việt Tác Giả: Ryota Hosoya Ngày phát hành: 2020 Số trang: 200 trang Kích thước: 21 x 26 cm Nhà
COMBO 179K XỊN SÒ: SET 08 BAO GỒM: - 04 hủ bột nặn an toàn 140gr (Inbox TEDU chọn màu thoải mái hoặc TEDU sẽ gửi màu ngẫu nhiên nhé ạ) - Dụng cụ chơi
- Bạn muốn rửa xe nhưng không muốn xách nước. - Bạn muốn tưới cây nhưng không hài lòng với vòi phun yếu. - Bạn muốn vệ sinh sạch sẽ nền nhà, tường, sân, cửa
Không Hoàn Hảo Nhưng Tự Do Và Hạnh Phúc Bạn cuối cùng cũng sẽ được là chính m.ình. Sẽ không còn phải lo lắng về những tác động do m.ình tạo ra, cũng chẳng cần
Hiểu Để Chữa Lành: Thoát Khỏi Nỗi Hổ Thẹn Độc Hại Nhà xuất bản : NXB Trẻ. Công ty phát hành : NXB Trẻ. Tác giả : John Bradshaw. Kích thước : 20.5 x 13
MÔ TẢ SẢN PHẨM: Vở 4 ô ly Hồng Hà School Ami 0515 phù hợp cho học sinh tiểu học tập viết chữ. Bề mặt giấy láng mịn, viết êm tay, tạo nét chữ đẹp.
Sống Thông Minh - Kiểm Soát Sự Phân Tâm Trong Thời Đại Số Và Tận Hưởng Cuộc Sống Trọn Vẹn Bạn có đang gặp khó khăn với bất kỳ điều nào sau đây? - Tập
Thông tin chung: Nhà phát hành: Omega Plus Nhà xuất bản: NXB Thế giới Tác giả: Erich Fromm Dịch giả: Lê Phương Anh Kích thước: 14 x 20,5 cm Số trang: 520 Bìa: Bìa mềm
1. Thói Quen Làm Nên Sáng Tạo Thomas Edison từng nói: “Thiên tài chỉ có 1% là may mắn, 99% còn lại là mồ hôi và nước mắt.” Chẳng có ai sinh ra đã là
Đẹp Từng Đường Kim Mũi Chỉ, Hàng Đạt Chất Lượng Xuất Khẩu BÁN LẺ GIÁ SỈ Chú Ý Khi Đặt Hàng Nhớ Chọn Lấy Mã Miễn Phí Vận Chuyển Và Áp Dụng Mã Miễn Phí
Mô tả: Lẽ Phải Của Phi Lý Trí Lẽ phải của phi lý trí là cuốn sách tư duy được xây dựng và phát triển trên cuốn sách nền tảng Phi lý trí của nhà
Quẳng Gánh Lo Đi Và Vui Sống là cuốn sách mà cái tên đã nói lên tất cả nội dung chuyển tải trên những trang giấy. Bất kỳ ai đang sống đều sẽ có những
Mạch ký ức của quá khứ như công tắc on/off, bạn lựa chọn tắt hay mở cũng như việc chọn giữa quên và nhớ. Đồng hành với hiện tại luôn có quá khứ, bởi nó
Thịnh Vượng - Con Đường Dẫn Đến Sự Giàu Có Và Sung Túc Từ Bên Trong Nhà xuất bản : Nhà Xuất Bản Thế Giới. Công ty phát hành : Phương Nam Book. Tác giả
Luật Trí Não (Tái Bản) Tất cả chúng ta đều muốn biết điều gì thực sự xảy ra bên trong bộ não của mình. Các nhà khoa học về trí não đã phát hiện ra
Tay Hòm Chìa Khóa - Bí Quyết Quản Lý Tài Sản Cho Người Chưa Giàu Chào bạn - người hôm nay ngồi đây để đọc những trang đầu tiên của cuốn sách này! Cảm ơn
Luật Trí Não (Tái Bản) Tất cả chúng ta đều muốn biết điều gì thực sự xảy ra bên trong bộ não của mình. Các nhà khoa học về trí não đã phát hiện ra
SÉT BỘ ĐỒ ĐÙI SORT NỮ THÊU CHỮ XINH ĐẸP SANG TRỌNG TRẺ TRUNG MẪU MỚI ĐẸP CÓ BIGSIZE [ĐỒ BỘ CAO CẤP] ️ Bao kiểm hàng text hàng trước khi nhận, Nhận không ưng
THUỘC TÍNH SẢN PHẨM Chất vải: Phi thun. Chiều dài váy: Qua gối. Chiều dài tay áo: Tay ngắn. Kiểu cổ áo: Cổ vuông. Họa tiết: Trơn. Phong cách: Gợi cảm. CHI TIẾT SẢN PHẨM
Làm Chủ Kiến Thức Toán Lớp 9 Ôn Thi Vào Lớp 10 - Phần Hình Học Nhà xuất bản : Nhà Xuất Bản Hồng Đức. Công ty phát hành : TKBooks. Tác giả : Nhiều
Combo Sách Thay Thái Độ Đổi Cuộc Đời - Tập 1 + Tập 2 + Tập 3 (Bộ 3 Cuốn) 1. Thay Thái Độ Đổi Cuộc Đời - Tập 1 'Người hạnh phúc không phải
Luật Trí Não (Tái Bản) Tất cả chúng ta đều muốn biết điều gì thực sự xảy ra bên trong bộ não của mình. Các nhà khoa học về trí não đã phát hiện ra
Bốn Mùa Với Phong Lan Bốn mùa với phong lan là một tài liệu hướng dẫn cách trồng và chăm sóc những loài phong lan đẹp nhất thế giới với những bức ảnh sắc nét. Với
Phụ Nữ Làm Khoa Học
Tỏ Tường Tay Ta - Bách Khoa Toàn Thư Về Đôi Tay Nhà xuất bản : Nhà Xuất Bản Thanh Niên. Công ty phát hành : San Hô. Tác giả : Vítězslav Mecner. Kích thước
Bạn Có Thể Tạo Dựng Cuộc Đời Hoàn Mỹ Nhà xuất bản : Nhà Xuất Bản Thế Giới. Công ty phát hành : Thiên Minh Book. Tác giả : Louise Hay. Kích thước : 13
Thớt gỗ Teak HTX DAO PHÚC SEN được làm từ chất liệu gỗ teak nhập khẩu, loại gỗ quý có độ bền cao, có khả năng chống nước, chống mối mọt, nấm mốc, bền bỉ,
● ĐẶC ĐIỂM NỔI BẬT CỦA MÁY XAY ĐA NĂNG CẦM TAY ⎊ Nhỏ gọn, vệ sinh rất thuận tiện. Cối thủy tinh đúc nguyên khối, chịu lực ⎊ Có đế hút chân không silicon
Mã hàng: 8936203363647 Nhà phát hành: Đông A Nhà xuất bản: Dân Trí Tác giả: Andy Prentice và Matthew Oldham Năm xuất bản: 2023 Số trang: 96 Trọng lượng: 300gr Kích thước: 18.5 x 24
Câu Hỏi Và Bài Tập Trắc Nghiệm Toán 12 Cuốn sách Câu Hỏi Và Bài Tập Trắc Nghiệm Toán 12 (Thi THPT Quốc Gia) bao gồm các câu hỏi và bài tập trắc nghiệm được
Habits of Leaders - Thói Quen Nhà Lãnh Đạo Thức tỉnh nhà lãnh đạo vĩ đại trong bạn "Đỉnh cao của lãnh đạo là lãnh đạo chính bản thân mình", đây là quan điểm được
Combo Sách Ba Người Thầy Vĩ Đại + Nhà Lãnh Đạo Không Chức Danh(Bộ 2Cuốn) à Lãnh Đạo Không Chức Danh Suốt hơn 15 năm, Robin Sharma đã thầm lặng chia sẻ với những công
Bí Mật Tư Duy Sáng Tạo Nhà xuất bản : Nhà Xuất Bản Thanh Hóa. Công ty phát hành : Văn Lang. Tác giả : Dorte Nielsen. Kích thước : 16 x 24 cm. Số
Xã hội càng phát triển, con người càng có nhiều mối quan hệ phức tạp, vì thế muốn làm nên sự nghiệp lớn, tất yếu mỗi người phải cần có “tâm” và “thuật”. Nhìn vào
Một triết gia nổi tiếng từng nói: “Thói quen là một loại sức mạnh vừa ngoan cường lại vừa mạnh mẽ. Nó có thể làm chúa tể cuộc đời của con người. Cho nên, ai
QUẠT NĂNG LƯỢNG MẶT TRỜI 3W ĐƯỜNG KÍNH 20CM Lưu ý quạt không có pin sạc nên có nắng quạt mới chạy. Dùng cổng USB, 5v-6v với tấm pin năng lượng mặt trời 6v-3w. Kích
Được ca tụng là cha đẻ của dòng điện xoay chiều, Nikola Tesla đã làm thay đổi thế giới với các phát minh của mình. Nhà khoa học này đã cống hiến toàn bộ cuộc
Công ty phát hành: First News - Trí Việt Nhà xuất bản: NXB Dân trí Tác giả: Pedram Shojai Số trang: 464 Khổ sách: 14,5 x 20,5 cm Năm phát hành: 2023 Quy cách in:
*Số lượng quà tặng kèm có hạn Tác giả:Robert de Board Dịch giả:Phạm Trúc Quỳnh; Ngày xuất bản:09 - 2021 Kích thước:13 x 19 cm Nhà xuất bản:NXB Thanh Niên Hình thức bìa: bìa mềm
Ngài Cóc Đi Gặp Bác Sĩ Tâm Lý (Bìa Cứng) Trong cuộc sống, chắc hẳn chúng ta cũng có những lúc phải đối mặt với bệnh trầm cảm. Điều quan trọng là mọi người sẽ
Giá bộ: 218.000 VNĐ -------------- Công ty phát hành: First News - Trí Việt Tác giả: Thích Đồng Tâm Ngày xuất bản: 2024 Kích thước: 13 x 19 cm Nhà xuất bản: NXB Dân Trí
Giá bộ: 218.000 VNĐ -------------- Công ty phát hành: First News - Trí Việt Tác giả: Thích Đồng Tâm Ngày xuất bản: 2024 Kích thước: 13 x 19 cm Nhà xuất bản: NXB Dân Trí
Ngôn từ có khả năng thuyết phục nhưng cũng có thể khiến người khác khó chịu. Ngôn từ có khả năng dẫn dắt nhưng cũng có thể gây cản trở cho bạn. Ngôn từ có
Bạn muốn giúp trẻ hiểu về khoa học máy tính, nhưng không biết bắt đầu từ đâu? Bộ sách Tớ Đến Với Khoa Học Máy Tính đem lại các hoạt động thiết thực, dễ thực
1. Người Giàu Có Nhất Thành Babylon Người giàu có nhất thành Babylon (tiếng Anh: The Richest Man in Babylon) được xem là một trong những tác phẩm truyền cảm hứng lớn nhất về chủ
1. CHIẾC DÙ CỦA BẠN MÀU GÌ? Công ty phát hành: First News - Trí Việt Tác giả: Nhiều tác giả Ngày xuất bản: 2020 Kích thước: 14.5 x 20.5 cm Nhà xuất bản:
Dây tưới phun mưa phi 34 Thông số kỹ thuật: Đường kính: 34mm Độ dày: 0.25mm Số lỗ: 5 lỗ Áp suất: 1.5-3 bar Khối lượng cuộn: 3.5 kg Chiều dài cuộn: 100m Dây tưới
Phương Pháp Quản Lý Chi Tiêu Đơn Giản Và Hiệu Quả Nhà xuất bản : Nhà Xuất Bản Công Thương. Công ty phát hành : 1980 Books. Tác giả : Mitsuki Okazaki. Kích thước :
👁️ 34 | ⌚2025-10-07 23:32:56.773
Thí sinh bật khóc vì đề thi Toán vào lớp 10 TPHCM quá khó. #shorts
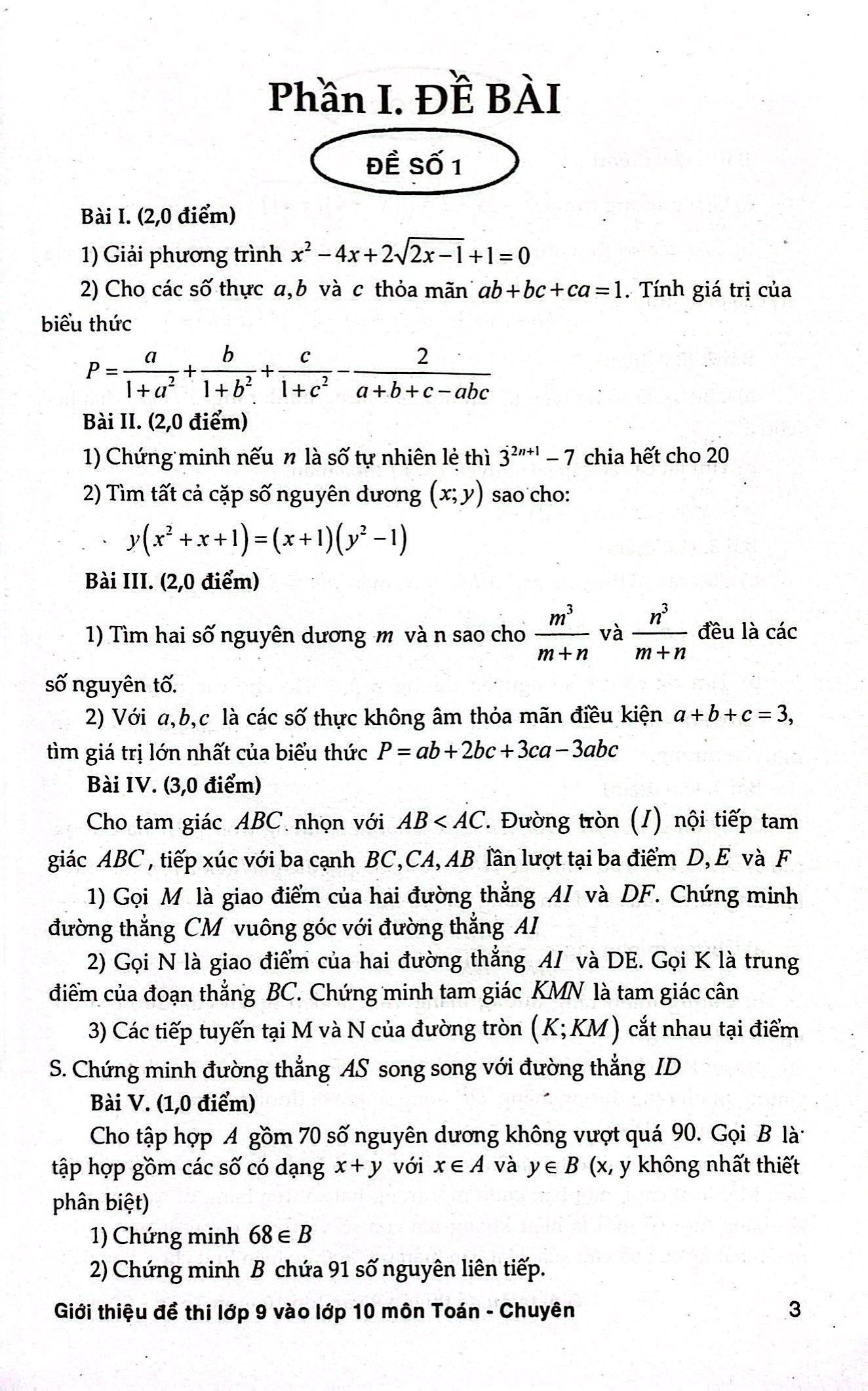
ĐỀ THI TUYỂN SINH VÀO LỚP 10 THPT MÔN TOÁN
Cách đạt điểm cao toán thi vào 10 | Biquyetdodaihoc #shorts
[2024-2025]Đề thi tuyển sinh vào lớp 10 môn Toán - TP Hà Nội ( đề chính thức).
HD Giải đề thi vào 10 chuyên toán tỉnh Bình Dương 2021 2022
HD giải đề thi vào 10 chuyên Toán Thái Bình năm 2021-2022

Thí sinh bật khóc vì đề thi Toán vào lớp 10 TPHCM quá khó. #shorts
ĐỀ THI TUYỂN SINH VÀO LỚP 10 THPT MÔN TOÁN
Cách đạt điểm cao toán thi vào 10 | Biquyetdodaihoc #shorts
[2024-2025]Đề thi tuyển sinh vào lớp 10 môn Toán - TP Hà Nội ( đề chính thức).
HD Giải đề thi vào 10 chuyên toán tỉnh Bình Dương 2021 2022
HD giải đề thi vào 10 chuyên Toán Thái Bình năm 2021-2022

Chất Vải Tici , Mát, Ít Nhăn, Cổ Áo Chui BÁN LẺ GIÁ SỈ Chú Ý Khi Đặt Hàng Nhớ Chọn Lấy Mã Miễn Phí Vận Chuyển Và Áp Dụng Mã Miễn Phí Vận Chuyển
️BẠN MUỐN CÓ MỘT TRANG PHỤC PHÙ HỢP KHI ĐI LỄ CHÙA ??? Có Đủ Các Mẫu Mới Nhất Hiện Nay Đáp Ứng Mọi Yêu Cầu Của Bạn : Đẹp và Chất Lượng Vải Loại
Mẫu đồ Lam SIZE 2 : Cao : 1m5 - 1m6 Nặng : 45kg - 55kg SIZE 3 : Cao : 1m6 - 1m7 Nặng : 55kg - 65kg SIZE 4 : Cao : 1m7
️BẠN MUỐN CÓ MỘT TRANG PHỤC PHÙ HỢP KHI ĐI LỄ CHÙA ??? Có Đủ Các Mẫu Mới Nhất Hiện Nay Đáp Ứng Mọi Yêu Cầu Của Bạn : Đẹp và Chất Lượng Vải Loại
BÁN LẺ GIÁ SỈ Chú Ý Khi Đặt Hàng Nhớ Chọn Lấy Mã Miễn Phí Vận Chuyển Và Áp Dụng Mã Miễn Phí Vận Chuyển Bạn Nhé !! Hàng Shop Gửi Đi Cho Khách Gói
Kích Thước Mẫu Lãnh Tụ Đo Trực Tiếp Lên Áo Và Quần,Các Bạn Xem Chi Tiết Đo Này Đễ Chọn Size Chính Xác Hơn Ah. Size 1 Đo Từ Vai Xuống Vạc Áo 69cm; Quần
Thành phần Dầu khoáng chất, trilsononaoin, cetearyl ethylhexanoat, isopropyl myristat, vitamin A, tinh dầu hạt hướng dương, vitamin E, tinh dầu cúc la mã, tinh dầu oải hương, tinh dầu lá hương thảo, chiết xuất
Bình đựng dầu ăn thủy tinh LocknLock 550ml CKO208, Hàng chính hãng, nắp mở tự động, miệng bình rộng - JoyMall - Thương hiệu: Chính hãng LocknLock - Mã SP: CKO208IVY: màu ngà / CKO208GRY:
Cuốn Sách Về Tâm Lý Kỹ Năng Sống Hay- I'm OK You're OK - Tôi Ổn Bạn Ổn I’m Ok – You’re Ok xuất bản lần đầu tiên năm 1969, liên tục giữ vị trí
The Wedding Planner A day to remember . . . Faith Ferguson is one of New York’s most sought after wedding planners. Realizing dreams and making magic happen are part of why Faith loves her
Hộp 24 Bút Lông Màu Acrylic Markers 2 Đầu - Colokit ACM-C002 với thiết kế đầu BROAD tiện lợi và đầu BRUSH linh hoạt đáp ứng được đa dạng nhu cầu sử dụng. Bút màu
Giá bộ: 228.000 VNĐ ------------- Công ty phát hành: First News Tác giả: Karen Casey Ngày xuất bản: 2020 Kích thước: 14.5 x 20.5cm Nhà xuất bản: Nhà Xuất Bản Tổng hợp TP.HCM Loại bìa:
Sống thông minh - Kiểm soát sự phân tâm trong thời đại số và tận hưởng cuộc sống trọn vẹn Công ty phát hành: Thái Hà Tác giả: Brian Solis Số trang: 348 Nhà
Bạn có đang gặp khó khăn với bất kỳ điều nào sau đây? - Tập trung - Sự trì hoãn - Sự lo lắng - Lòng tự trọng - Hay quên - Khả năng sáng
“Hành trình nhân loại: Nguồn gốc của thịnh vượng và bất bình đẳng” được viết bởi Oded Galor - một trong những nhà kinh tế có ảnh hưởng nhất trong lĩnh vực tăng trưởng
Hành Trình Thức Tỉnh - Tạ Minh Tuấn Hành trình thức tỉnh ghi lại những giác ngộ của tác giả Tạ Minh Tuấn trong hành trình đi tìm lẽ thực, những trăn trở trong tâm
Combo Hành Tinh Của Một Kẻ Nghĩ Nhiều + Vẻ Đẹp Của Sự Cô Đơn (Bìa Mềm) (Bộ 2 Cuốn) 1. Hành Tinh Của Một Kẻ Nghĩ Nhiều “Đó là mùa hè năm 2020, mùa
Combo Thay Câu Hỏi - Đổi Cuộc Đời + Khi Ta Thay Đổi Thế Giới Sẽ Đổi Thay (Bộ 2 Cuốn) 1. Thay Câu Hỏi - Đổi Cuộc Đời Thay Câu Hỏi - Đổi Cuộc
Bộ sách "Chơi cờ vua cùng bé" gồm 3 cuốn: 1. “CỜ VUA – NHỮNG BƯỚC ĐI ĐẦU TIÊN CỦA KIỆN TƯỚNG” là một tài liệu tuyệt vời với hơn 80 chủ đề cơ bản, từ
Giá bộ: 206.000 VNĐ -------------- 1. HÀNH TRÌNH VỀ PHƯƠNG ĐÔNG Tác Giả: Nhiều tác giả Công ty phát hành: First News - Trí Việt Ngày phát hành: 2022 Số trang: 256 Kích thước: 14.5