✨Kĩ Thuật Giải Nhanh Bài Toán Hay Và Khó Đại Số Giải Tích 11_HA
Mua tại Shopee
Mua tại Tiki
Mua tại Lazada
Mua tại TiktokKĩ Thuật Giải Nhanh Bài Toán Hay Và Khó Đại Số Giải Tích 11
Newshop.vn xin giới thiệu đến cuốn Kĩ Thuật Giải Nhanh Bài Toán Hay Và Khó Đại Số Giải Tích 11 của tác giả Nguyễn Duy Hiếu, Cuốn này được chia thành 5 chương.
Chương 1 : Hàm số lượng giác và phương trình lượng giác. Chương 2 : Tổ hợp và xác xuất Chương 3 : Qui nạp toán học và dãy số Chương 4 : Giới hạn Chương 5 : Đạo hàm
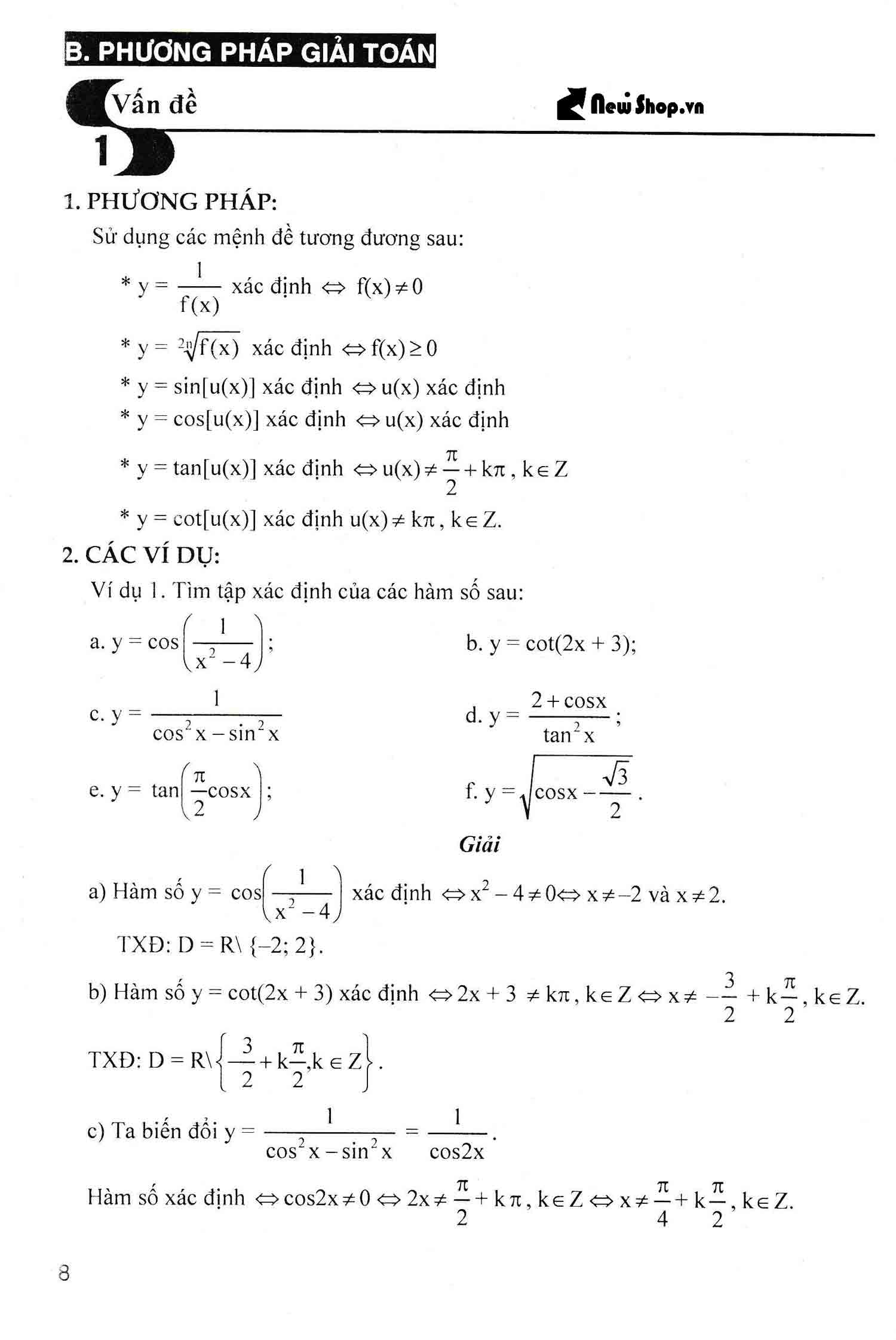
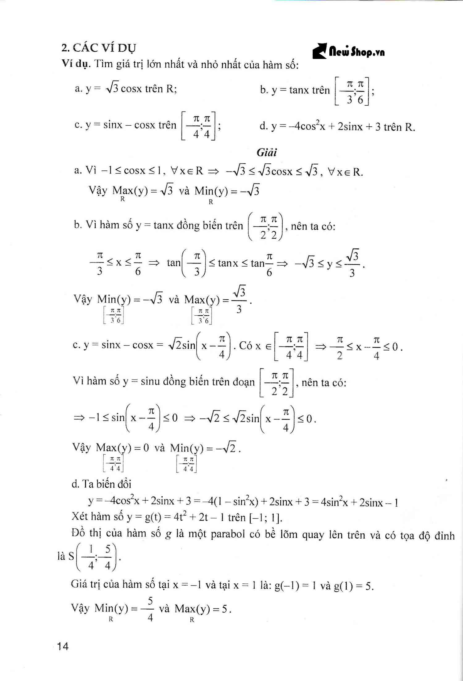
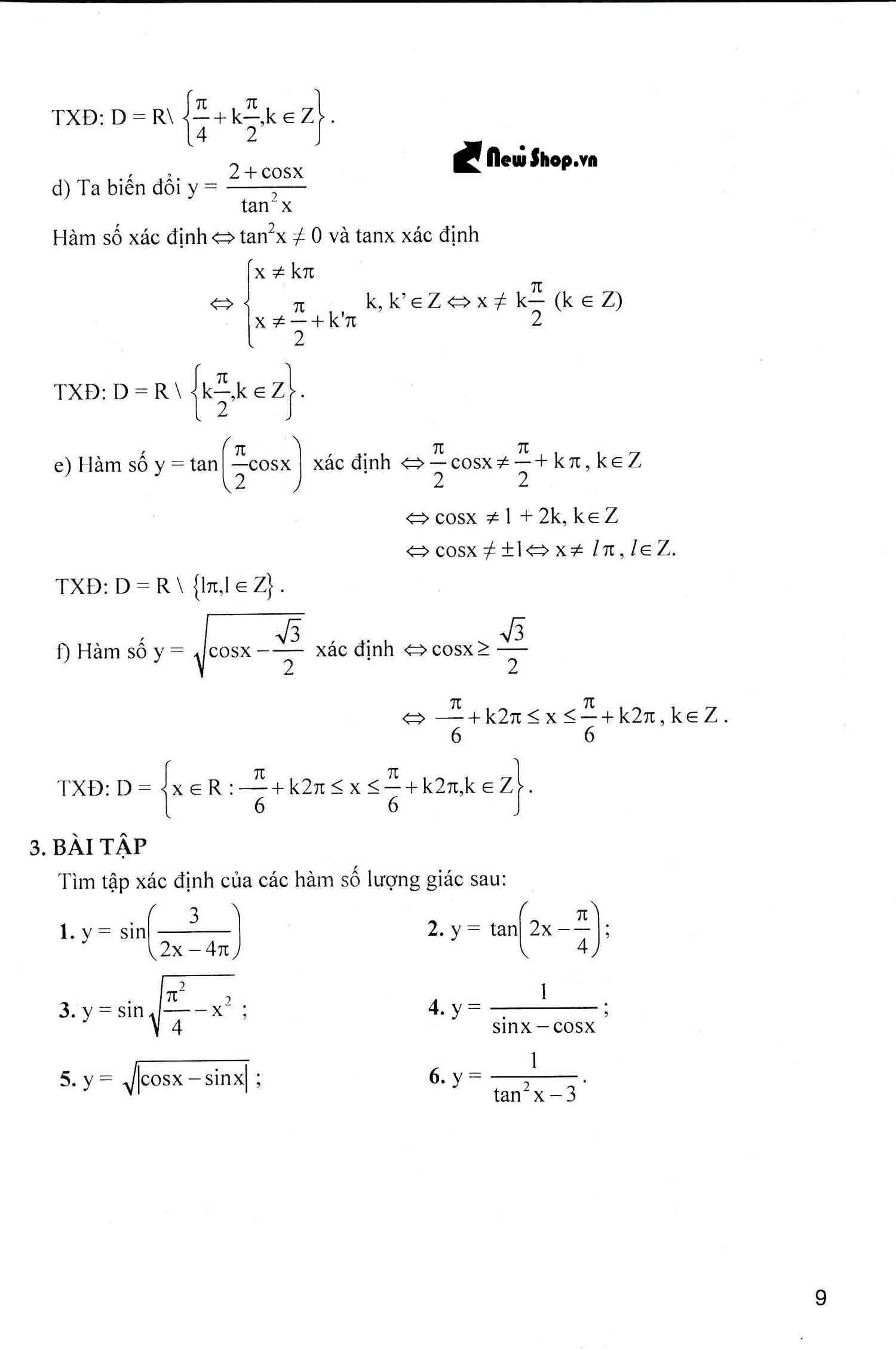
Nội dung của mỗi chương được trình bày theo bố cục bài học như trong sách giáo khoa.
Mỗi bài gồm các phần : A. Tóm tắt sách giáo khoa
B. Phương pháp giải các dạng toán: Phần này được trình bày theo từng vấn đề. Mỗi vấn đề là một dạng toán thường gặp liên quan đến kiến thức của từng bài học tương ứng.
Mua tại Shopee
Mua tại Tiki
Mua tại Lazada
Mua tại TiktokCuốn sách bao gồm 3 chuyên đề lớn: Ngữ âm, Từ vựng và Ngữ pháp Trong mỗi chuyên đề lớn sẽ được chia thành các chủ đề bao gồm: Các kiến thức trọng tâm.
Kì thi Olympic 30 tháng 4 do Sở Giáo dục và Đào tạo, Trường Trung học Phổ thông Chuyên Lê Hồng Phong Thành phố Hồ Chí Minh tổ chức đã diễn ra được 26 kì
Combo Ngân Hàng: Câu Hỏi Trắc Nghiệm Tiếng Anh+Chuyên Đề Điền Từ Vào Đoạn Văn Tiếng Anh +Chuyên Đề Ngữ Pháp TA Công ty phát hành: Nhà Sách Hồng Ân Tác Giả: Nhiều tác
mỗi bài trong chương đều có đầy đủ lý thuyết, công thức, bài tự luyện, ví dụ minh họa Bám sát nội dung sgk Sách in màu xanh đen luyện tập các dạng từ bài
dành cho học sinh 12 mục tiêu điểm 9 - 10 vật lí học sinh chuẩn bị các bài thi, kỳ thi quan trọng được biên soạn rất kĩ bám sát cấu trúc bài thi
Sách Tư Duy Toán 12 - Sách nâng cao năng lực, tư duy toán học và ôn luyện toán vận dụng cao ĐẶC ĐIỂM NỔI BẬT 1. Cấu trúc nội dung toàn diện và
MỤC LỤC Dẫn nhập PHẦN 1: DẠNG BÀI VÀ KĨ NĂNG I. Dạng bài nghị luận văn học 1. Nghị luận văn học trong thi vào 10, THPT QG, ĐGNL 1.1. Viết đoạn văn nghị
Kì thi Olympic 30 tháng 4 do Sở Giáo dục và Đào tạo, Trường Trung học Phổ thông Chuyên Lê Hồng Phong Thành phố Hồ Chí Minh tổ chức đã diễn ra được 26 kì
1. Bồi Dưỡng Học Sinh Giỏi Sinh Học 10 Cuốn sách được viết bám sát chương trình Sinh học lớp 10 phổ thông và chương trình sinh học lớp 10. Cuốn sách được trình bày
Combo Tự Học Hóa Học 10 Tập Một + Tập Hai (Theo Chương Trình GDPT Mới) (Bộ 2 Cuốn) 1. Tự Học Hóa Học 10 Tập Một (Theo Chương Trình GDPT Mới) 2. Tự
Sách - Tài Liệu Chuyên Toán 10 - Quyển 1 + 2 + 3 Tác giả: Trần Nam Dũng - Vũ Văn Thiện - Nguyễn Quang Hợp - Hồ Lộc Thuận (Đồng chủ biên)
+ Chương trình chuẩn kết hợp theo cả 3 bộ sách: Cánh Diều, Kết Nối Tri Thức với Cuộc sống và Chân trời sáng tạo + Hệ thống kiến thức rõ ràng theo chủ đề
Sách Tổng ôn Tiếng Anh Tập 1 – Tập 2” là một lộ trình luyện thi theo chuyên đề được xây dựng xoay quanh mục tiêu đổi mới trong bài thi mà Bộ giáo dục
Sinh học lớp 12 chương trình mới dành cho 2k8 - Hệ thống kiến thức và video bài giảng theo chương trình sách giáo khoa mới - Đầy đủ các dạng thức và câu hỏi
+ Chương trình chuẩn kết hợp theo cả 3 bộ sách: Cánh Diều, Kết Nối Tri Thức với Cuộc sống và Chân trời sáng tạo + Hệ thống kiến thức rõ ràng theo chủ đề
Sách Đọc vị đề Toán Kỳ thi Đánh giá năng lực - Tư duy theo chương trình SGK mới THÔNG TIN SẢN PHẨM Sách Đọc vị đề Toán Kỳ thi Đánh giá năng lực
Sách - THE TRUTH - Tiền Đề Toán 12 (Ngọc Huyền LB) Tác giả: Ngọc Huyền LB Năm sản xuất: 2025 Số Trang: 100+ Nhà Xuất Bản Đại Học Quốc Gia Hà Nội
Cuốn sách Nền tảng Tư duy toán 12 - Kiến thức nền tảng Toán 12 gồm 4 phần: Phần 1: Giải tích Chương 1: Ứng dụng đạo hàm để khảo sát và vẽ đồ thị
được biên soạn theo chuẩn kiến thức và kỹ năng chương trình Toán Hình Học lớp 12. Sách bao gồm các phần tổng hợp các kiến thức cùng chủ đề căn bản về hình học
SÁCH - Bồi dưỡng sinh học lớp 11 (theo chương trình THPT 2018) Cuốn sách được xuất bản nhằm mục đích cung cấp một tài liệu có ích trong việc bồi dưỡng học sinh giỏi.
Bồi dưỡng sinh học 12 do tác giả Nguyễn Tấn Thành viết, thuộc bộ sách Alpha Biology Sách gồm kiến thức: Di truyền học Tiến hóa học Quy luật di truyền Sinh thái học
Sách - Nâng cao văn phong lý luận văn học (cô thùy dương) Hướng dẫn áp dụng 200 nhận định văn học phổ biến Nâng cao văn phong với 500 nhận định mở rộng Cái
Combo Luyện Thi Vào 10: Tuyển Chọn Bài Nghị Luận Văn Học + Take Note Vào 10 - Ghi Chú Nhanh Ôn Thi Cấp Tốc Tiếng Anh GIỚI THIỆU: 1. Luyện Thi Vào 10 Ngữ
KĨ NĂNG ĐỌC HIỂU VĂN BẢN - VIẾT ĐOẠN VĂN - VIẾT BÀI VĂN NGHỊ LUẬN Nếu bạn đang tìm 1 cuốn sách tham khảo có đầy đủ hướng dẫn kĩ năng viết #BÀI_VĂN
Chinh Phục Câu Hỏi Lí Thuyết Vật Lí Theo Chủ Đề (Dùng Chung Cho Các Bộ SGK Hiện Hành) Các em học sinh thân mến! Theo chương trình mới thì kì thi Tốt nghiệp THPT
Combo Sách Của Phan Khắc Nghệ: Ngân Hàng Câu Hỏi Trắc Nghiệm Sinh Học Quyển Hạ + Quyển Thượng 1. Ngân Hàng Câu Hỏi Trắc Nghiệm Sinh Học Quyển Hạ Cuốn sách Ngân Hàng Câu
Combo Bộ Đề Ôn Thi Vào Lớp 10 THPT Môn Sinh Học + Bồi Dưỡng Học Sinh Giỏi Sinh Học 9 - Phan Khắc Nghệ (Bộ 2 Cuốn) - TÁI BẢN MỚI 1.Bộ Đề Ôn
mỗi bài trong chương đều có đầy đủ lý thuyết, công thức, bài tự luyện, ví dụ minh họa Bám sát nội dung sgk Sách in màu xanh đen luyện tập các dạng từ bài
mỗi bài trong chương đều có đầy đủ lý thuyết, công thức, bài tự luyện, ví dụ minh họa Bám sát nội dung sgk Sách in màu xanh đen luyện tập các dạng từ bài
Nội dung : Chương đầu tiền của vật lý 12 mỗi bài trong chương đều có đầy đủ lý thuyết, công thức, bài tự luyện, ví dụ minh họa Bám sát nội dung sgk Sách
Combo Kĩ Thuật Giải Nhanh Bài Toán Hay Và Khó Đại Số + Hình Học Lớp 10 (Biên Soạn Theo Chương Trình GDPT Mới) (Bộ 2 Cuốn) Các em học sinh lớp 10 thân mến!
Văn mới 10 năm 2015 - 2025 “Văn Mới 10 năm 2016 - 2025” là tập thứ tư trong bộ tuyển tập Văn Mới được xuất bản định kỳ năm năm một lần. Đây là
Combo Học Tốt Địa Lí Lớp 10 (Dùng Chung Cho Các Bộ SGK Theo Chương Trình GDPT Mới) (Bộ 3 Cuốn) 1. Câu Hỏi Và Bài Tập Bồi Dưỡng Học Sinh Giỏi Địa Lí Lớp
Tích hợp hiện đang là xu hướng chủ đạo trong dạy học và nghiên cứu ờ bậc phổ thông. Cuốn Tích Hợp Toán, Tin Và Vật Lý sẽ nghiên cứu vấn đề trên, cuốn sách
Trong quá trình học tập và ôn luyện, các em thường đặt cho mình các câu hỏi: Nội dung trải dài cả 3 khối 10, 11, 12; làm thế nào ôn luyện và nắm vững
Combo Hướng Dẫn Học Và Làm Bài Ngữ Văn 11 - Tập 1 + 2 (Bám Sát SGK Kết Nối Tri Thức Với Cuộc Sống) (Bộ 2 Cuốn) 1. Hướng Dẫn Học Và Làm Bài
Trắc Nghiệm Chuyên Đề Giải Tích 12 Mỗi chương lại bao gồm những chuyên đề và dạng bài khác nhau giúp các em làm quen và hình thành phản xạ làm bài tập trắc
Kì thi Đánh giá tư duy năng lực của các trường đại học lớn như: Đại học Quốc gia Hà Nội (HSA), Đại học Quốc gia Thành phố Hồ Chí Minh (APT), Trường Đại học
Kì thi Đánh giá tư duy năng lực của các trường đại học lớn như: Đại học Quốc gia Hà Nội (HSA), Đại học Quốc gia Thành phố Hồ Chí Minh (APT), Trường Đại học
ự Học Hóa Học 10 Tập Một (Theo Chương Trình GDPT Mới) Chúng ta được sinh ra và lớn lên biết bao nhiêu điều phải học hỏi để hiểu biết và khám phá thế
Combo Hướng Dẫn Học Và Giải Các Dạng Bài Tập Toán 9 Tập 1 + 2 (Bám Sát SGK Kết Nối Tri Thức Với Cuộc Sống) (Bộ 2 Cuốn) 1. Hướng Dẫn Học Và Giải
Nhà sách Tuệ Tâm trân trọng giới thiệu sách: Định hướng và phát triển tư duy giải bài tập Toán khó lớp 9 (bồi dưỡng học sinh giỏi)! Sách - Định hướng và phát triển
combo phương pháp giải bài tập trắc nghiệm vật lí 1. Phương Pháp Giải Bài Tập Trắc Nghiệm Vật Lí Tập 1 Để giúp các em học sinh có thêm tài liệu tham
Sách tự học Toán học lớp 11 tập 2 chương trình mới: + Chương trình chuẩn kết hợp theo cả 3 bộ sách: Cánh Diều, Kết Nối Tri Thức với Cuộc sống và Chân trời
1. Nội dung sách Tự học Toán học lớp 10: Tập 1: - Chương 1: Mệnh đề và tập hợp (5 chủ đề) - Chương 2: Bất phương trình - Hệ bất phương trình (4
+ Chương trình chuẩn kết hợp theo cả 3 bộ sách: Cánh Diều, Kết Nối Tri Thức với Cuộc sống và Chân trời sáng tạo + Hệ thống kiến thức rõ ràng theo chủ đề
Bạn đọc thân mến! Chương trình sách giáo khoa mới có nhiều đổi mới về nội dung, cách diễn đạt. Bộ Giáo dục đã nói rõ, sách giáo khoa chỉ là tài liệu tham khảo.
- Chủ đề 1: Cấu tạo nguyên tử - Chủ đề 2: Bảng tuần hoàn các nguyên tố hoá học - Chủ đề 3: Liên kết hoá học - Chủ đề 4: Phản ứng oxi
+ Chương trình chuẩn kết hợp theo cả 3 bộ sách: Cánh Diều, Kết Nối Tri Thức với Cuộc sống và Chân trời sáng tạo + Hệ thống kiến thức rõ ràng theo 23 chủ
Sách thiết kế chuyên sâu, bám sát ma trận đề minh họa kỳ thi tốt nghiệp THPT năm 2025. Sách dành cho: - Học sinh 2K7/8/9 mục tiêu đạt điểm 8,9,10 môn tiếng Anh kì
Tháng 10 năm 2016, Bộ Giáo Dục và Đào tạo đã công bố phương pháp thi và đề thi minh họa môn Toán bằng hình thức trắc nghiệm cho kỳ thi THPT Quốc gia năm.
Kì thi Olympic 30 tháng 4 do Sở Giáo dục và Đào tạo, Trường Trung học Phổ thông Chuyên Lê Hồng Phong Thành phố Hồ Chí Minh tổ chức đã diễn ra được 26 kì
Sách - Combo Định hướng phát triển năng lực toán 9 -Tập 1+2 (bám sát sgk kết nối tri thức với cuộc sống) (HA-MK) Các thầy giáo cô giáo cùng toàn thể các em học
SÁCH - sách tham khảo hoá học 11 (dùng chung cho các bộ sgk hiện hành) Năm học 2022 – 2023 các em đã tiếp cận với Chương trình giáo dục phổ thông mới trong
Phương Trình hàm là 1 chuyên đề quan trọng trong chương trình học Toán. Các bài toán, dạng toán trong chương này đa số cũng là những bài tập khó. vì vậy chúng ta cần
Cuốn sách dựa trên chương trình Giải Tích 12 sau đó thâu tóm lại các dạng bài tập chính và cách giải các bài tập đó. Các bài toán được sắp xếp từ để đến khó
Sách - Cẩm nang ôn tập trọng tâm môn sinh học luyện thi tốt nghiệp THPT (dùng chung các bộ sgk hiện hành) - HA Bạn đọc thân mến! Chương trình sách giáo khoa mới
Kì thi Đánh giá tư duy năng lực của các trường đại học lớn như: Đại học Quốc gia Hà Nội (HSA), Đại học Quốc gia Thành phố Hồ Chí Minh (APT), Trường Đại học
Sách - Cẩm nang ôn tập trọng tâm môn sinh học luyện thi tốt nghiệp THPT (dùng chung các bộ sgk hiện hành) - HA Bạn đọc thân mến! Chương trình sách giáo khoa mới
Mỗi chương lại bao gồm những chuyên đề và dạng bài khác nhau giúp các em làm quen và hình thành phản xạ làm bài tập trắc nghiệm. Sách gồm 3 chương : CHƯƠNG I
👁️ 168 | ⌚2025-10-07 08:26:33.292
Đề khảo sát Hà Nội 11(Đề chính thức) - Câu 2 TLN #ChuaDe11HocKi2
Tính nhanh đạo hàm phân thức bằng tích có hướng | Toán 11 | Casio 580vnx | Thầy Thái Minh Nguyễn
Bấm Máy phương trình lượng giác - Toán 11 #shorts
Mẹo Đạo hàm nhanh P2
Giải tích 1.1.2 Giới hạn hàm số: Các dạng vô định cơ bản - Các kỹ thuật tính giới hạn
Giải tích 1.1.1 Giới hạn hàm số: Các dạng vô định cơ bản - Các kỹ thuật tính giới hạn

Đề khảo sát Hà Nội 11(Đề chính thức) - Câu 2 TLN #ChuaDe11HocKi2
Tính nhanh đạo hàm phân thức bằng tích có hướng | Toán 11 | Casio 580vnx | Thầy Thái Minh Nguyễn
Bấm Máy phương trình lượng giác - Toán 11 #shorts
Mẹo Đạo hàm nhanh P2
Giải tích 1.1.2 Giới hạn hàm số: Các dạng vô định cơ bản - Các kỹ thuật tính giới hạn
Giải tích 1.1.1 Giới hạn hàm số: Các dạng vô định cơ bản - Các kỹ thuật tính giới hạn

+ CHI TIẾT - 100% da bò tự nhiên - Chất liệu: Da bò Pebbled mềm mại - Màu da: Vàng cam - Kiểu dáng: Đứng – Gập 2 - Khóa kéo: Không - Kích
4P's có nghĩa "For Peace" - cho Hòa Bình tràn ngập trên toàn thế giới. Tham vọng ở Pizza 4P's không chỉ đơn giản là "Một nhà hàng Pizza tuyệt vời" mà chúng tôi có
Le Monde Steak là hệ thống Bít Tết theo phong cách thành thị Pháp đầu tiên tại Việt Nam, nơi thực khách tự do trải nghiệm những món ăn mang hương vị Pháp đầy lôi
Sôi nổi, phóng khoáng, vui nhộn chính là tinh thần mà Yakimono – Quán thịt nướng Nhật Bản muốn mang đến cho bạn. Trái ngược với khung cảnh yên bình bên ngoài, chỉ cần đẩy
Hoa Yêu Thương là bông hoa được ghép từ nhiều trái tim với mong muốn kêu gọi mọi người hãy chia sẻ yêu thương nhiều hơn. Cuộc sống sẽ tốt hơn rất nhiều nếu chúng
Gyu-Kaku nhập thịt tươi và cắt từng lát một tại nhà hàng để đảm bảo độ tươi ngon. Nước tương và miso truyền thống Nhật Bản chúng tôi dùng cho sốt và ướp thịt kĩ
Hạn sử dụng: 2025-12-31 00:00:00 Potico là điện hoa chuyên cung cấp bó hoa yêu thương và quà tặng ý nghĩa hàng đầu tại Việt Nam. Potico luôn miễn phí giao hàng trong khu vực
Nếu bạn là người Hàn Quốc sinh sống hoặc làm việc xa nhà, bạn nên ghé qua Butoomac để cảm nhận hương vị quê hương. Đây là những nhà hàng rất nổi tiếng ở Hà
Ra mắt thương hiệu tại Hà Nội với cơ sở đầu tiên Hàng Bông vào năm 2016, hiện nay, Don Chicken đã có 14 cửa hàng tại Hà Nội, Quảng Ninh, Bắc Ninh, Thanh Hóa
MIYEN - Nét chấm phá Nhật Bản tinh tế đầy duy mỹ. Miyen Japanese Fusion Cuisine mong muốn đem đến cho Quý Thực khách trải nghiệm bầu không khí giao thời của một đất nước
Với phương châm: “Nơi ẩm thực Hồng Kông được tôn vinh và chăm chút. Chúng tôi mang đến quý khách sự trải nghiệm tuyệt đối từ vị giác đến văn hóa ẩm thực”. Baoz Dimsum
A Mà Kitchen - Stay Vietnam, Taste HongKong Trở về Hồng Kông 40 năm trước, A Mà - Bà Nội của một gia đình Trung Hoa là người luôn tận tụy chăm lo từng bữa
Thương hiệu bánh donut thơm ngon, và những ly cà phê đậm đà, mang đến không gian thân thiện để kết nối mọi người. CRISPY DONUTS luôn cập nhật hương vị mới, đảm bảo mỗi
Đến Hệ thống tiNiWorld, các bậc phụ huynh hoàn toàn có thể yên tâm vì con yêu của mình được bảo vệ an toàn nhất. Tất cả các thiết bị đồ chơi tại đây đều
BORNGA VIỆT NAM: Là chi nhánh thuộc thương hiệu và chuỗi hệ thống nhà hàng nổi tiếng toàn cầu Bornga, Bornga Việt Nam hân hạnh phục vụ những món ăn mang đậm nét truyền thống
Otoké Chicken tự hào là thương hiệu gà rán của Việt Nam - được đầu tư và quản lý bởi Quỹ đầu tư VI (VIGroup) – một công ty quản lý quỹ chuyên nghiệp, chuyên
Với sự ra đời của cửa hàng đầu tiên tại Việt Nam vào năm 2007, chuỗi cửa hàng TOUS les JOURS khẳng định vị trí dẫn đầu trong phân khúc cao cấp bánh và cà
Bạn đang lên kế hoạch cho một bữa tiệc ấm cúng, một buổi hẹn hò hay một buổi liên hoan cuối năm? Đừng bỏ lỡ voucher tiền mặt từ Ssamjang - Nướng & Cuốn Chợ
Shang Chi - Taiwanese Rotary Hotpot là con tàu trải nghiệm và khám phá thiên đường lẩu Đài Loan đầy màu sắc và đa dạng. Shang Chi cũng là sự giao thoa giữa yếu tố
Không gian rộng rãi và sạch sẽ, nhân viên thân thiện, nhiệt tình chắc chắn là điểm đến lý tưởng cho một cuộc hẹn tại Spicy Box. Đến với Spicy Box bạn sẽ được hóa