✨Sách - Bồi Dưỡng Năng Lực Toán Lớp 11 - Tập 2 - Dùng Chung Cho Các Bộ Sách - Khang Việt Book













Bồi Dưỡng Năng Lực Toán 11 - Tập 2 (Dùng chung cho các bộ sách)
Bắt đầu từ năm 2023-2024 học sinh lớp 11 học theo sách giáo khoa mới. Chương trình mới tập trung đến sự phát triển năng lực, rèn luyện tinh thần tự học của học sinh và ứng dụng toán học trong đời sống.
Nội dung mỗi bài gồm các phần:
A. TÓM TẮT LÝ THUYẾT: lý thuyết được tóm tắt ngắn gọn, dễ hiểu.
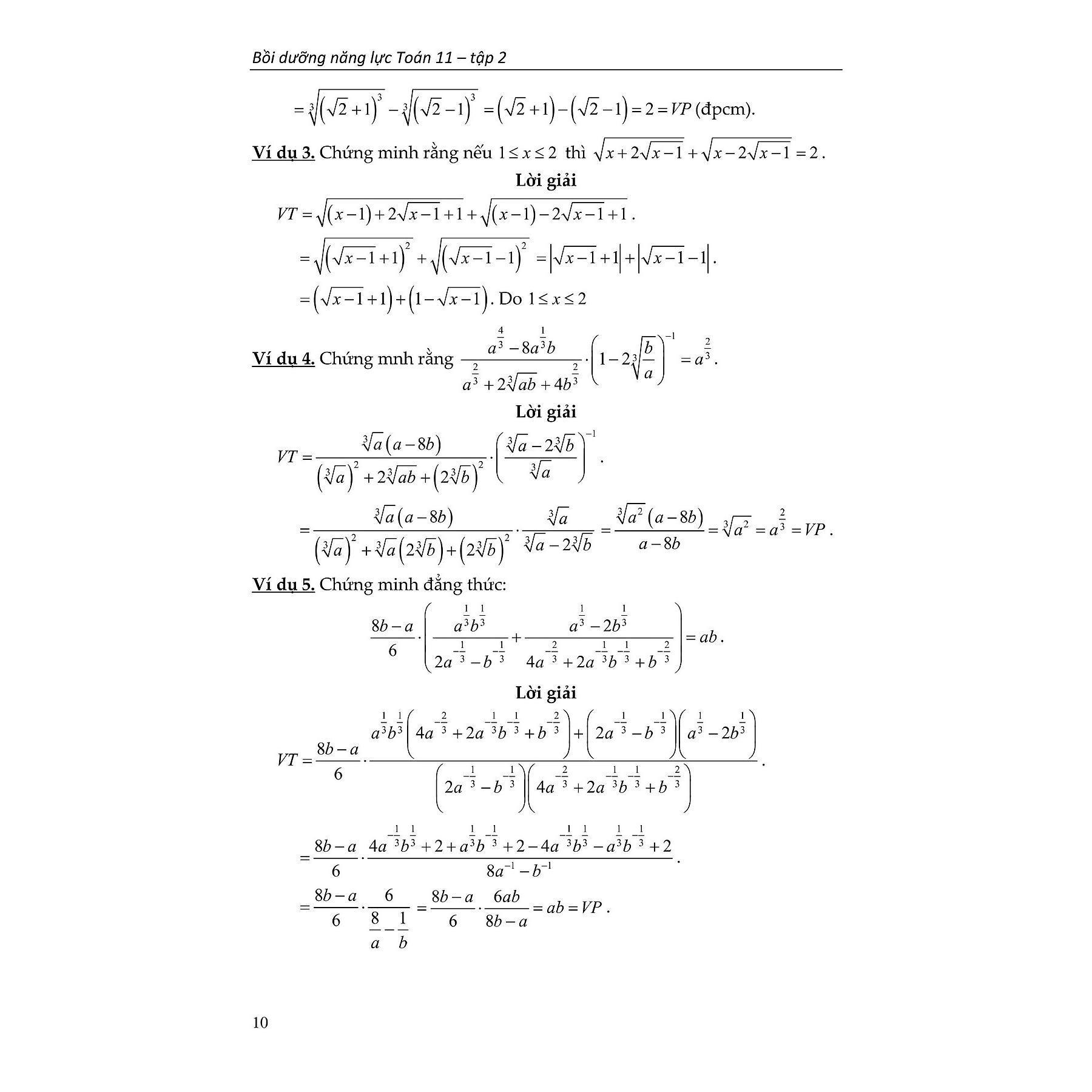
B. CÁC DẠNG TOÁN: các dạng toán được giải chi tiết và có lời bình.
C. BÀI TẬP TỰ LUYỆN: các dạng bài tập trọng tâm từng bài được sắp theo thứ tự từ dễ đến khó để học sinh rèn luyện.
D. BÀI TẬP TRẮC NGHIỆM: các câu hỏi trắc nghiệm quan trọng học sinh cần giải để hiểu bài tốt nhất.
E. HƯỚNG DẪN GIẢI BÀI TẬP TỰ LUYỆN - BÀI TẬP TRẮC NGHIỆM




Combo Big 4 Bộ Đề Tự Kiểm Tra 4 Kỹ Năng Nghe - Nói - Đọc - Viết Tiếng Anh (Cơ Bản Và Nâng Cao) 6 Tập 1 + 2 (Bộ 2 Cuốn) Bộ sách
Sách -(Combo)Toán Cơ Bản Và Nâng Cao Lớp 8 (Kết Nối) Cuốn sách Toán Cơ Bản Và Nâng Cao Lớp 8 là tài liệu cung cấp phương pháp giúp các em tự học, tự
Mỗi bài gồm 4 mục: Kiến thức cơ bản: hệ thống những kiến thức cần thiết nhất mà các em phải nắm vững.. Sai lầm cần tránh lưu ý các em những lỗi
Đột Phá Tư Duy Toán Lớp 8 Bí quyết giúp con tăng 500% hứng thú tự học & tăng nhanh điểm kiểm tra trên lớp bằng phương pháp tự học đột phá tư duy Bằng
Phương Pháp Tư Duy Tìm Cách Giải Toán Đại Số 9 (Dùng Chung Cho Các Bộ SGK Hiện Hành) Phương Pháp Tư Duy Tìm Cách Giải Toán Đại Số 9, sách trình bày những
SÁCH ĐỘT PHÁ TƯ DUY KHOA HỌC TỰ NHIÊN - DÙNG CHUNG CHO CẤC BỘ SGK Đột phá tư duy Khoa học tự nhiên 6 không chỉ là một bộ sách mà còn là
SÁCH ĐỘT PHÁ TƯ DUY LỊCH SỬ VÀ ĐỊA LÍ Biến việc học thành một cuộc phiêu lưu thú vị Bám sát chương trình học - Chìa khóa thành công cho mọi kì thi
Sách - Bồi dưỡng học sinh giỏi Toán lớp 7 Bộ sách được biên soạn bởi nhóm tác giả là những thầy cô giáo đã và đang giảng dạy ở các lớp chuyên Toán của
Tác giả: Nhiều tác giả Nhà xuất bản: NXB Dân Trí Đơn vị phát hành: Công ty Cổ phần Tập đoàn Giáo dục và Đào tạo WinEdu Số trang: 176 Bìa Mềm Ngày phát hành:
Bộ sách Big 4 - Bộ đề Tự kiểm tra 4 kỹ năng NGHE – NÓI – ĐỌC – VIẾT được biên soạn theo khung chương trình mới của Bộ Giáo dục và Đào tạo
Tuyển Chọn 171 Bài Văn Hay 8 (Theo Chương Trình Giáo Dục Phổ Thông Mới) Sáchđược biên soạn theo sách giáo khoa Ngữ Văn 8 – Chương trình mới nhất của Bộ Giáo dục và
Cuốn sách gồm các chuyên đề sau : Chuyên đề 1. Biền đổi đồng nhất Chuyên đề 2. Biến đổi căn thức Chuyên đề 3. Xác định đa thức Chuyên đề 4. Hệ phương trình
Sách - Giải Bằng Nhiều Cách Các Bài Toán Lớp 9 (Dùng Chung Cho Các Bộ SGK Hiện Hành) - HA Trong học toán và giải toán, việc tìm những lời giải khác nhau cho
Giới Thiệu Sách: Cuốn Sách 7 Chủ đề toán thực tế đặc sắc (Giúp chinh phục kì thi tuyển sinh vào lớp 10). 7 CHỦ ĐỀ TOÁN THỰC TẾ ĐẶC SẮC - Giúp
Nhà xuất bản Dân Trí Tác giả Nhiều tác giả Năm XB 2025 Khổ sách 20.5x28.5 cm Số trang: 112 trang Nội dung kiến thức Bao quát các chuyên đề:
Nhà cung cấp ndbooks Nhà xuất bản Dân Trí Tác giả Nhiều tác giả Năm XB 2025 Khổ sách 20.5x28.5 cm Số trang: 112 trang Nội dung
Sách - 155 bài làm văn chọn lọc 9 Bạn đọc thân mến, “155 Bài làm văn chọn lọc 9” được biên soạn trên cơ sở Chương trình Ngữ văn Trung học cơ sở hiện
Sách - Những đề & bài văn nghị luận theo hướng mở (dùng chung các bộ sgk hiện hành) - HA Làm văn là một phần quan trọng của môn học Ngữ văn. Làm văn
Sách -(Combo)Toán Cơ Bản Và Nâng Cao Lớp 9(Kết Nối) Cuốn sách Toán Cơ Bản Và Nâng Cao Lớp 9 là tài liệu cung cấp phương pháp giúp các em tự học, tự rèn
Bắt đầu từ năm học 2023-2024 học sinh lớp 8 học theo chương trình sách giáo khoa mới. Sách giáo khoa mới nhấn mạnh đến rèn luyện tinh thần tự học của học sinh. Nội
Sách - 155 bài làm văn chọn lọc 9 + ha Bạn đọc thân mến, “155 Bài làm văn chọn lọc 9” được biên soạn trên cơ sở Chương trình Ngữ văn Trung học cơ
Định Hướng Và Phát Triển Tư Duy Giải Bài Tập Toán Khó Lớp 9 - Tập 1 (Dùng Chung Cho Các Bộ SGK Hiện Hành) “Định hướng và phát triển tư duy giải bài
Hướng Dẫn Học Tốt Ngữ Văn 9 - Tập 1 (Bám Sát SGK Cánh Diều) Mặc dù đã đồng hành cùng với chủ trương lớn của Đảng, Nhà nước - thay đổi sách
Sách - Học Tốt Khoa Học Tự Nhiên 9 (Dùng Kèm SGK Cánh Diều) - HA Quý thầy, cô, các bậc phụ huynh và các em học sinh thân mến! Sách giáo khoa Khoa học
MÔ TẢ SẢN PHẨM Sách - Học Tốt Khoa Học Tự Nhiên 9 (Dùng Kèm SGK Cánh Diều) - HA Quý thầy, cô, các bậc phụ huynh và các em học sinh thân mến! Sách
Phân Loại Và Giải Chi Tiết Các Dạng Bài Tập Toán Lớp 6 Tập 2 (Bám Sát SGK Kết Nối Tri Thức Với Cuộc Sống) Phân Loại Và Giải Chi Tiết Các Dạng Bài Tập
Nhà xuất bản : Đại Học Quốc Gia hà Nội Trang : 272 Năm xuất bản : 2022 Tác giả : nhiều tác giả Nhà phát hành : Nhà sách hồng ân Sách -
Phương Pháp Giải Toán Bất Đẳng Thức Và Cực Trị Cuốn sách Phương Pháp Giải Toán Bất Đẳng Thức Và Cực Trị do nhóm tác giả Nguyễn Văn Dũng, Võ Quốc Bá Cẩn, Trần Quốc
Kĩ Năng Giải Toán Căn Bản Và Mở Rộng Lớp 7 - Tập 1 (Dùng Chung Cho Các Bộ SGK Hiện Hành) Bộ sách Kĩ Năng Giải Toán Căn Bản Và Mở Rộng Lớp 7 được
Sách - ôn tập kiểm tra nâng cao và phát triển năng lực ngữ văn 7 thuộc bộ sách này được viết bám sát theo chương trình mới của Bộ Giáo dục và Đào tạo,
Cuốn sách gồm các chuyên đề sau : Chuyên đề 1. Biền đổi đồng nhất Chuyên đề 2. Biến đổi căn thức Chuyên đề 3. Xác định đa thức Chuyên đề 4. Hệ phương trình
MÔ TẢ SẢN PHẨM Hướng Dẫn Trả Lời Câu Hỏi Khoa Học Tự Nhiên 9 (dùng kèm SGK Kết nối tri thức với cuộc sống): Nhằm giúp quý Thầy, Cô, các bậc phụ huynh và
Sách - Giới thiệu bộ đề thi môn tiếng anh tốt nghiệp THPT (theo chương trình GDPT mới - áp dụng từ năm 2025) - HA Các em học sinh thân mến! Cuốn sách Giới
MÔ TẢ SẢN PHẨM Hướng Dẫn Trả Lời Câu Hỏi Khoa Học Tự Nhiên 9 (dùng kèm SGK Kết nối tri thức với cuộc sống): Nhằm giúp quý Thầy, Cô, các bậc phụ huynh và
Sách - ôn tập kiểm tra nâng cao và phát triển năng lực ngữ văn 7 thuộc bộ sách này được viết bám sát theo chương trình mới của Bộ Giáo dục và Đào tạo,
Chương trình Ngữ văn lớp 8 theo định hướng phát triển năng lực 2018 có nhiều thay đổi khi sử dụng ba bộ sách giáo khoa khác nhau. Sau thành công của 2 cuốn Bồi
Bài tập tiếng Anh lớp 7 (không đáp án) Sách bài tập tiếng anh lớp 7 được biên soạn dành cho học sinh lớp 7, do Nhà xuất bản Đại học Quốc gia Hà Nội
Chương trình Ngữ văn lớp 8 theo định hướng phát triển năng lực 2018 có nhiều thay đổi khi sử dụng ba bộ sách giáo khoa khác nhau. Sau thành công của 2 cuốn Bồi
Nhà cung cấp ndbooks NXB Dân Trí Tác giả Nhiều tác giả Năm XB 2025 khổ 20.5x28.5 cm Số trang: 96 trang Hệ thống bài tập theo
Công ty phát hành: Dn Tư Nhân Thương Mại Toàn Phúc Nhà xuất bản: NXB Đà Nẵng Tác giả: Nhiều Tác Giả Loại bìa: Bìa Mềm Số trang: 288 Năm xuất bản: 2021
Sách - Hướng dẫn viết, nói & nghe các dạng văn lớp 9 tập 1 + ha Trong chương trình giáo dục phổ thông tổng thể 2018, cùng với các môn học khác, môn Ngữ
Sách - Tuyển tập đề thi tốt nghiệp THPT môn hóa học (Cấu trúc đề thi 2025) - HA Kỳ thi tốt nghiệp trung học phổ thông từ năm 2025 sẽ thực hiện theo Chương
Sách - Hướng dẫn viết, nói & nghe các dạng văn lớp 9 tập 2 + ha Trong chương trình giáo dục phổ thông tổng thể 2018, cùng với các môn học khác, môn Ngữ
Kiến Thức Cơ Bản Và Nâng Cao Khoa Học Tự Nhiên Môn Hóa Học 9 (Theo Chương Trình Giáo Dục Phổ Thông Mới - Dùng Chung Cho Các Bộ SGK Hiện Hành) Môn Hóa cũng
Sách - Giúp em giỏi toán 9/1 (bám sát sgk kết nối tri thức với cuộc sống) - HA Cuốn sách Giúp em giỏi Toán 9 – Tập một được biên soạn bám sát
Các em học sinh thân mến! Thị trường sách tham khảo dành cho học sinh THCS đã khá nhiều. Song với kinh nghiệm tích luỹ trong nhiều năm và để giúp các em học
Nội dung của mỗi bài học đó là các định nghĩa, các công thức toán học, các định lí mà mỗi học sinh cần nhớ, đồng thời phải biết vận dụng các kiến thức để
Sách - Hướng dẫn học và giải các dạng bài tập Toán 9/1 (bám sát SGK Kết nối tri thức với cuộc sống) -HA Với mong muốn giúp học sinh phát triển phẩm chất và
Sách - Bài giảng & lời giải chi tiết tiếng anh 9 (bám sát sgk i-learn smart world) Cuốn sách Bài giảng và lời giải chi tiết Tiếng Anh 9 được biên soạn nhằm mục
được biên soạn bởi các tác giả là chuyên gia, nhà khoa học, nhà giáo giàu kinh nghiệm về giáo dục phổ thông. Bộ sách được biên soạn vừa giúp học sinh củng cố các
được biên soạn bởi các tác giả là chuyên gia, nhà khoa học, nhà giáo giàu kinh nghiệm về giáo dục phổ thông. Bộ sách được biên soạn vừa giúp học sinh củng cố các
-------------------------giới thiệu sách-------------------- -35 đề thi then chốt vào lớp 6 -Đề thi phong phú , đa dạng bám sát chương trình của Bộ giáo dục & Đào tạo -Có đáp án (tặng
Sách - Hướng dẫn và minh họa viết đoạn văn nghị luận xã hội 200 chữ (dùng chung cho các bộ sgk hiện hành) - HA Các em học sinh 12 thân mến! Trong cấu
Mô tả sản phẩm Giới thiệu Sách - [ Lớp 4 lên lớp 5 ] - Bộ đề ôn tập hè Vui Học Toán Hè lớp 4 lên lớp 5 Bộ đê ôn tập trong
Sách - Combo Hướng dẫn học và giải các dạng bài tập Toán 6 (Tập 1+Tập 2) Gồm 2 cuốn : Hướng dẫn học và giải các dạng bài tập Toán 6 - Tập 1
Từ năm học 2021-2022, chương trình và sách giáo khoa Ngữ văn Trung học Cơ sở mới được triển khai dạy và học trên phạm vi toàn quốc. Để góp phần giúp giáo viên, phụ
Bạn đang tìm kiếm một người bạn đồng hành tin cậy để vượt qua các kỳ thi học sinh giỏi Toán lớp 9? Bạn mong muốn tiếp cận những dạng toán chuyên sâu, tư duy
Sách ôn thi thpt quốc gia 2025, Sách ôn thi tốt nghiệp môn Vật Lí 1. Mô tả Sách ôn thi thpt quốc gia 2025, Sách ôn thi tốt nghiệp môn Vật Lí - Đề
Sách có hai tập, bám sát các nội dung cơ bản theo định hướng phát triển năng lực đọc, viết, nói và nghe của sách giáo khoa Ngữ văn 9 bộ “Kết Nối Tri Thức".
Bồi Dưỡng Học Sinh Giỏi Toán 9 (Luyện Thi Vào Lớp 10) Sách nhằm góp thêm vào tủ sách của bạn đọc một tài liệu bồi dưỡng học sinh giỏi lớp 9 và luyện thi
👁️ 45 | ⌚2025-09-23 12:00:02.522


Tác Giả: James R. Doty, MD Ngày phát hành: 2020 Số trang: 312 Kích thước: 14,5 x 20.5 cm NXB: NXB Tổng hợp Giá bìa: 148.000VND Mô tả sản phẩm: “Bước vào cửa hiệu nhiệm
Thông tin sản phẩm Mã hàng 8935086850947 Tên Nhà Cung Cấp FIRST NEWS Tác giả James R Doty, MD NXB NXB Tổng Hợp TPHCM Năm XB 2020 Trọng lượng (gr) 320 Kích Thước Bao Bì
Rèn Tư Duy - Luyện Trí Não (45 Phương Pháp Tư Duy Sâu Cho Mọi Thế Hệ)
Bởi Ta Chưa Tự Biết Mình Bạn không hài lòng với cuộc sống hiện tại dù đang không ngừng cố gắng? Bạn thất vọng vì mọi nỗ lực của mình dường như đều trở nên
“Đắm mình trong dòng chảy sáng tạo không chỉ là niềm vui của con trẻ mà còn giúp các bậc phụ huynh đang kiệt sức có cơ hội để thư giãn và kết nối với
Các Cách Thức Giúp Bạn Khai Mở Và Sử Dụng Nguồn Tài Nguyên Vô Tận Trong Chính Bộ Não Của Mình: Cách Chinh Phục Toán Và Khoa Học ------------ Cách Chinh Phục Toán Và
7 Thói Quen Của Bạn Trẻ Thành Đạt được biên dịch từ tác phẩm nổi tiếng The 7 Habits of Highly Effective Teens của tác giả Sean Covey theo hợp đồng chuyển giao bản quyền
Bởi Ta Chưa Tự Biết Mình ------------ Bạn không hài lòng với cuộc sống hiện tại dù đang không ngừng cố gắng? Bạn thất vọng vì mọi nỗ lực của mình dường như đều
Từ Bỏ Thì Dễ, Vượt Lên Chính Mình Mới Khó Cha mẹ có giàu tình thương yêu đến mức nào, cũng chỉ trở thành một ngọn đuốc, chỉ đường soi lối để con tự bước
Tác Giả: Gavin Aung Than Ngày phát hành: 2019 Số trang: 160 Kích thước:16 x 23 cm NXB:NXB Tổng hợp Giá bìa: 148.000VND Mô tả sản phẩm: Bạn mong muốn có được những phút giây
Tác giả: Trần Tiến Nhà xuất bản: NXB Hội Nhà Văn Năm xuất bản: 2016 Số trang: 264 Giá: 148.000VNĐ Mô tả sản phẩm:
Bạn có biết 108 là con số huyền bí và quyền năng nhất Hệ Mặt Trời không? số 108 tượng trưng cho 108 phiền não của con người - những sự vật, sự việc và
THÔNG TIN PHÁT HÀNH Tên sách: Tư Duy Của Người Dẫn Đầu - 7 Yếu Tố Để Trở Thành Người Dẫn Đầu Đám Đông Công ty phát hành Vibooks Nhà xuất bản NXB Thế giới
Tại Sao Chúng Ta Luôn Cảm Thấy Mình Không Đủ Tốt? Trên con đường trưởng thành, ta hay tự kìm nén cảm xúc trong lòng và cho rằng đó là một hành động khôn
Vượt Lên Mặc Cảm Tự Ti, Nắm Lấy Bản Lĩnh Tự Tin Nhà xuất bản : Nhà Xuất Bản Thế Giới. Công ty phát hành : Berry Books. Tác giả : Từ Trạch Húc. Kích
Bạn loay hoay trong mớ hỗn độn vì trì hoãn những việc quan trọng. - Bạn hoang mang trong sự “vô kỷ luật” và cứ thế trôi qua ngày. - Bạn lo lắng, bất lực
Từ Nghĩ Đúng Đến Làm Đủ Nhà xuất bản : Nhà Xuất Bản Dân Trí. Công ty phát hành : Bookland. Tác giả : Baek Young-ok. Kích thước : 20.5 x 14.5 x 1.2 cm.
Tác Giả: Justin Champion Ngày phát hành: 2020 Số trang: 336 Kích thước: 14,5 x 20.5 cm NXB: NXB Tổng hợp Giá bìa: 148.000VND Mô tả sản phẩm:
Mã hàng 8935278609087 Tên Nhà Cung Cấp Saigon Books Tác giả LiLi Chin Người Dịch Nguyễn Thu Thủy NXB Thế Giới Năm XB 2024 Ngôn Ngữ Tiếng Việt Trọng lượng (gr) 180 Kích Thước Bao
LỐI TƯ DUY NÀO GIÚP NHỮNG NGƯỜI THÀNH CÔNG NHẤT THẾ GIỚI ĐẠT ĐƯỢC THÀNH TỰU VƯỢT TRỘI? Thành công không đến từ việc làm theo lối mòn mà nó đòi hỏi sự sáng tạo và chấp nhận rủi ro – như cách đầu bếp Grant Achatz phá vỡ mọi giới hạn trong ẩm thực để đưa Alinea trở thành nhà hàng hàng đầu Thế giới. Rèn luyện khả năng tư duy hệ thống thay vì chỉ tập trung vào kết quả, xây dựng một quy trình vững chắc để đạt được mục tiêu. Đó là cách Melanie Perkins (CEO của Canva) duy trì được tính linh hoạt trong một tập đoàn quy mô lớn mạnh. Quản lý chặt chẽ “chế độ tiêu thụ thông tin”, tập trung vào những nội dung chất lượng để nâng cao nhận thức và duy trì sự sáng suốt. Elon Musk chính là bậc thầy trong việc nâng cấp “phần mềm” não bộ thường xuyên. Thiên tài tiềm ẩn không chỉ là một cuốn sách kể những câu chuyện thành công mà còn là một cuốn cẩm nang giúp mỗi cá nhân khai phá tiềm năng của bản thân, tư duy một cách chiến lược và tạo ra động lực thực sự để đạt được mục tiêu. MỤC LỤC: CHƯƠNG 1: Giải phóng tiềm năng sáng tạo CHƯƠNG 2: Làm chủ sức mạnh tinh thần CHƯƠNG 3: Mở khóa những mối quan hệ lành mạnh CHƯƠNG 4: Kể những câu chuyện hấp dẫn hơn CHƯƠNG 5: Trở thành một nhà lãnh đạo hiệu quả hơn CHƯƠNG 6: Chấp nhận rủi ro trong những thời điểm không chắc chắn CHƯƠNG 7: Làm sáng tỏ suy nghĩ CHƯƠNG 8: Xây dựng một cộng đồng gắn kết CHƯƠNG 9: Tối ưu hóa thực đơn nội dung CHƯƠNG 10: Khám phá thiên tài tiềm ẩn bên trong bạn