✨Sách - Đề kiểm tra Toán 8 (Kết nối tri thức với cuộc sống)











Nhà sách Tuệ Tâm trân trọng giới thiệu cuốn sách: Đề kiểm tra Toán 8 (Kết nối tri thức với cuộc sống)!
Cuốn sách được biên soạn theo từng bài học và chia làm 3 phần:
- Phần 1: Kiến thức cơ bản và các đề kiểm tra thường xuyên.
- Phần 2: Các đề kiểm tra giữa kì 1, 2 và có hướng dẫn giải
- Phần 3: Các đề kiểm tra cuối kì 1, 2 và có hướng dẫn giải




Sách - Hướng dẫn viết, nói & nghe các dạng văn lớp 9 tập 1 + ha Trong chương trình giáo dục phổ thông tổng thể 2018, cùng với các môn học khác, môn Ngữ
Sách - Tuyển tập đề thi tốt nghiệp THPT môn hóa học (Cấu trúc đề thi 2025) - HA Kỳ thi tốt nghiệp trung học phổ thông từ năm 2025 sẽ thực hiện theo Chương
Sách - Hướng dẫn viết, nói & nghe các dạng văn lớp 9 tập 2 + ha Trong chương trình giáo dục phổ thông tổng thể 2018, cùng với các môn học khác, môn Ngữ
Kiến Thức Cơ Bản Và Nâng Cao Khoa Học Tự Nhiên Môn Hóa Học 9 (Theo Chương Trình Giáo Dục Phổ Thông Mới - Dùng Chung Cho Các Bộ SGK Hiện Hành) Môn Hóa cũng
Sách - Giúp em giỏi toán 9/1 (bám sát sgk kết nối tri thức với cuộc sống) - HA Cuốn sách Giúp em giỏi Toán 9 – Tập một được biên soạn bám sát
Các em học sinh thân mến! Thị trường sách tham khảo dành cho học sinh THCS đã khá nhiều. Song với kinh nghiệm tích luỹ trong nhiều năm và để giúp các em học
Nội dung của mỗi bài học đó là các định nghĩa, các công thức toán học, các định lí mà mỗi học sinh cần nhớ, đồng thời phải biết vận dụng các kiến thức để
Sách - Hướng dẫn học và giải các dạng bài tập Toán 9/1 (bám sát SGK Kết nối tri thức với cuộc sống) -HA Với mong muốn giúp học sinh phát triển phẩm chất và
Sách - Bài giảng & lời giải chi tiết tiếng anh 9 (bám sát sgk i-learn smart world) Cuốn sách Bài giảng và lời giải chi tiết Tiếng Anh 9 được biên soạn nhằm mục
được biên soạn bởi các tác giả là chuyên gia, nhà khoa học, nhà giáo giàu kinh nghiệm về giáo dục phổ thông. Bộ sách được biên soạn vừa giúp học sinh củng cố các
được biên soạn bởi các tác giả là chuyên gia, nhà khoa học, nhà giáo giàu kinh nghiệm về giáo dục phổ thông. Bộ sách được biên soạn vừa giúp học sinh củng cố các
-------------------------giới thiệu sách-------------------- -35 đề thi then chốt vào lớp 6 -Đề thi phong phú , đa dạng bám sát chương trình của Bộ giáo dục & Đào tạo -Có đáp án (tặng
Sách - Hướng dẫn và minh họa viết đoạn văn nghị luận xã hội 200 chữ (dùng chung cho các bộ sgk hiện hành) - HA Các em học sinh 12 thân mến! Trong cấu
Mô tả sản phẩm Giới thiệu Sách - [ Lớp 4 lên lớp 5 ] - Bộ đề ôn tập hè Vui Học Toán Hè lớp 4 lên lớp 5 Bộ đê ôn tập trong
Sách - Combo Hướng dẫn học và giải các dạng bài tập Toán 6 (Tập 1+Tập 2) Gồm 2 cuốn : Hướng dẫn học và giải các dạng bài tập Toán 6 - Tập 1
Từ năm học 2021-2022, chương trình và sách giáo khoa Ngữ văn Trung học Cơ sở mới được triển khai dạy và học trên phạm vi toàn quốc. Để góp phần giúp giáo viên, phụ
Bạn đang tìm kiếm một người bạn đồng hành tin cậy để vượt qua các kỳ thi học sinh giỏi Toán lớp 9? Bạn mong muốn tiếp cận những dạng toán chuyên sâu, tư duy
Sách ôn thi thpt quốc gia 2025, Sách ôn thi tốt nghiệp môn Vật Lí 1. Mô tả Sách ôn thi thpt quốc gia 2025, Sách ôn thi tốt nghiệp môn Vật Lí - Đề
Sách có hai tập, bám sát các nội dung cơ bản theo định hướng phát triển năng lực đọc, viết, nói và nghe của sách giáo khoa Ngữ văn 9 bộ “Kết Nối Tri Thức".
Bồi Dưỡng Học Sinh Giỏi Toán 9 (Luyện Thi Vào Lớp 10) Sách nhằm góp thêm vào tủ sách của bạn đọc một tài liệu bồi dưỡng học sinh giỏi lớp 9 và luyện thi
Các em học sinh lớp 7 yêu quýt Sau một năm lớp 6 học tập môn Ngữ văn, các em đã được tiếp xúc với các văn bản miêu tả, tự sự, biểu cảm, nghị
Sách - Tự tin luyện thi vào lớp 10 môn hóa học dành cho học sinh lớp 9 (dùng chung các bộ sgk hiện hành) Quý Thầy, Cô cùng các em học sinh thân
Sách - Bài tập phát triển năng lực Ngữ văn 8 tập 1 (Chân trời) THÔNG TIN CHI TIẾT Sách - Bài tập phát triển năng lực Ngữ văn 8 tập 1 (Chân trời)
•Phần 1. Định hướng và phát triển tư duy giải bài tập toán khó. Trong từng bài là các bài toán tương tự các bài tập trong sách giáo khoa, bài tập quen thuộc,
Thông tin chi tiết: Công ty phát hành: Sách Nhân Dân Tác Giả : Nguyễn Hồng Quân Số trang : 185 Năm xuất bản : 2022 Khổ sách : 19x27cm Hình thức : bìa
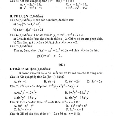
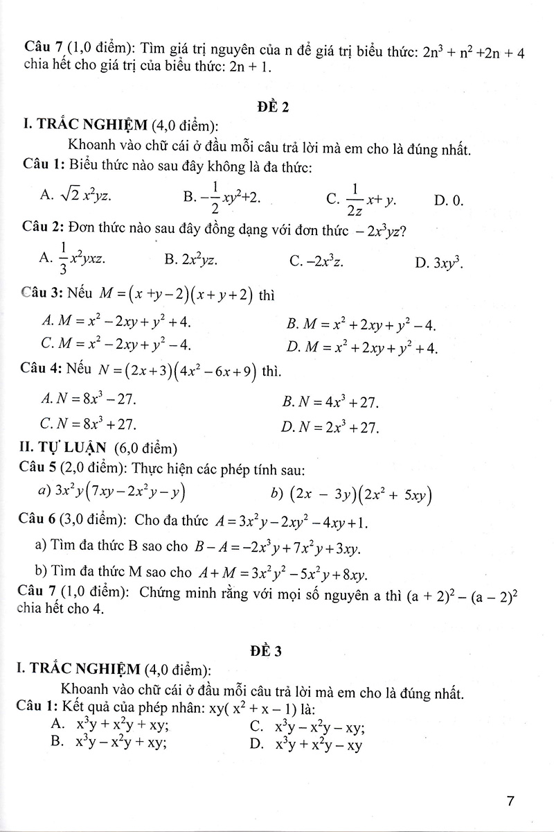
Làm bài kiểm tra là một phần quan trọng trong quá trình học tập của học sinh. Bài kiểm tra không những giúp giáo viên đánh giá chất lượng học tập của học sinh mà
•Phần 1. Định hướng và phát triển tư duy giải bài tập toán khó. Trong từng bài là các bài toán tương tự các bài tập trong sách giáo khoa, bài tập quen thuộc,
Sách - Toán 6 - Các Bài Toán Thực Tế Tác Giả: Nhiều tác giả Nhà Xuất Bản: Giáo Dục Việt Nam
Chinh Phục Đề Thi Vào Lớp 6 Trường THCS Chất Lượng Cao Môn Toán CÁC ƯU ĐIỂM CỦA CUỐN SÁCH: 1. Tổng ôn 30 đề then chốt môn Toán. Việc luyện tập nhuần nhuyễn giúp
Sách - Đề Kiểm Tra Toán 9 (Bám Sát SGK Kết Nối Tri Thức Với Cuộc Sống) - HA Quý Thầy, Cô cùng các em học sinh thân mến! Sau khi thực hiện Chương trình
Sách - HƯỚNG DẪN ÔN LUYỆN VÀO LỚP 6 MÔN TIẾNG VIỆT Theo chương trình mới (Dùng cho cả 3 bộ sách) Tác giả:Diêu Lan Phương (chủ biên) Trần Thu Hoa Phan Thùy Dương Lê Thu
Sách - Đề Kiểm Tra Toán 9 (Bám Sát SGK Kết Nối Tri Thức Với Cuộc Sống) - HA Quý Thầy, Cô cùng các em học sinh thân mến! Sau khi thực hiện
Nhâm mục đích giúp giáo viên và các em học sinh có thêm tài liệu luyện tập, củng cố, mở rộng và nâng cao kiến thức, chúng tôi biên soạn bộ sách Trọng tâm ngữ
Sách - Bộ Đề Kiểm Tra Toán 9 (Bám Sát SGK Chân Trời Sáng Tạo) - HA Quý Thầy, Cô cùng các em học sinh thân mến! Sau khi thực hiện chương trình giáo
Sách - Đề Kiểm Tra Toán 9 (Bám Sát SGK Kết Nối Tri Thức Với Cuộc Sống) - HA Quý Thầy, Cô cùng các em học sinh thân mến! Sau khi thực hiện Chương trình
Mô Tả Sản Phẩm Chương 1: Số hữu tỉ Chương 2: Số thực Chương 3: Góc và đường thẳng song song Chương 4: Tam giác bằng nhau Chương 5: Thu thập và biểu diễn dữ
100 Bài Làm Văn Hay Lớp 7 Với môn Tiếng Việt lớp 7, các em sẽ được bổ sung một lượng kiến thức phong phú, mới mẻ và hấp dẫn. Các em cũng sẽ được
Nội dung gồm có: Bài 6: Bài học cuộc sống Bài 7: Thế giới viễn tưởng Bài 8: Trải nghiệm để trưởng thành Bài 9: Hòa điệu với tự nhiên Bài 10: Trang sách
Củng cố và ôn luyện Tiếng anh lớp 7 - theo chương trình mới nhất của Global Success. Cuốn sách được chia thành các đơn vị bài học tương tự như sách giáo khoa để
MÔ TẢ SẢN PHẨM Nhà xuất bản: NXB Dân Trí Tác giả: Nhiều tác giả Loại bìa: Bìa Mềm Số trang: 180 Năm xuất bản: 2025 150 Bài Văn Hay 8 Văn hay
Sách - Bài giảng và lời giải chi tiết tiếng anh 9 (dùng kèm sgk kết nối - global success) - HA Đáp ứng yêu cầu đổi mới trong Chương trình giáo dục phổ thông
Nhà phát hành: Công ty TNHH Dịch vụ Giáo dục Việt Nam Tác giả: Diễn Lê Nhà xuất bản: NXB Đại Học Quốc Gia Hà Nội Năm xuất bản: 2023 Số trang: 200 trang
Củng Cố Và Ôn Luyện Toán 6 - Tập 2 Cuốn sách "Củng cố và ôn luyện Toán 6" là người bạn đồng hành tuyệt vời trong hành trình chinh phục môn Toán lớp 6
Quyển “Bài tập tiếng Anh 7 – Dùng kèm tiếng Anh 7” được biên soạn dựa trên sách Tiếng Anh 7 i-learn Smart World nằm trong bộ Sách giáo khoa Cánh Diều. Sách bao gồm
Cuốn sách Giải bài tập Toán lớp 7 được biên soạn theo sách giáo khoa Kết nối tri thức với cuộc sống nhằm giúp các em học sinh lớp 7 có thêm một tài liệu
Sách - Tuyển tập bộ đề môn toán luyện thi THPT cấu trúc đề thi năm 2025 - HA Công ty phát hành Nhà Sách Hồng Ân Năm Xuất Bản 2025 Bìa mềm Tác Giả
Bộ mô hình kỹ thuật lớp 4-5 dùng cho học sinh: Sản phẩm chất lượng cao, được sản xuất từ nhựa nguyên sinh cao cấp 100% Kiểu dáng , màu sắc đa dạng Tháo ,
Học Tốt Khoa Học Tự Nhiên 7 (Dùng Kèm SGK Cánh Diều) Quý thầy, cô, các bậc phụ huynh và các em học sinh thân mến! Sách giáo khoa Khoa học tự nhiên lớp 7 được
Hướng Dẫn Học Ngữ Văn 8 - Tập 2 (Dùng Kèm SGK Chân Trời Sáng Tạo) Đồng hành cùng với chủ trương lớn của Đảng, Nhà nước về việc thay đổi sách giáo khoa,
Hướng Dẫn Học Ngữ Văn 8 - Tập 1 (Dùng Kèm SGK Chân Trời Sáng Tạo) Đồng hành cùng với chủ trương lớn của Đảng, Nhà nước về việc thay đổi sách giáo khoa, trong
Sách - Hướng Dẫn Nói Và Viết Văn Biểu Cảm - Tự Sự - Thuyết Minh Lớp 7 - HA Trong chương trình Giáo dục phổ thông tổng thể 2018, ở môn Ngữ văn lớp
Sách được bố cục theo từng đơn vị bài học, tương ứng với từng Unit trong sách giáo khoa Tiếng Anh 8. Mỗi đơn vị bài học gồm: Từ vựng (Vocabulary): tổng hợp tất cả

Tác giả : Kiều Bắc - Nguyễn Quốc Khánh - Nguyễn Thị Hoa - Nhà xuất bản : Đại Học Quốc Gia Hà Nội - Kích thước : 17 x 24 cm - Số trang
Để đáp ứng yêu cầu đổi mới cách đánh giá học sinh trong môn Ngữ văn cấp THCS - Chương trình GDPT 2018 (tránh dùng lại các văn bản đã học trong sách giáo khoa
Hướng Dẫn Học Và Làm Bài Ngữ Văn 7 - Tập 1 (Bám Sát SGK Kết Nối Tri Thức Với Cuộc Sống) Trong giai đoạn đầu thực hiện chủ trương đổi mới chương trình sách
Sách mới gộp thành 1 cuốn: Nhà xuất bản : NXB Đại học Quốc gia Hà Nội Tác giả : Nguyễn Đức Tấn, Nguyễn Đoàn Vũ, Nguyễn Bình Dương
Bài Tập Phát Triển Năng Lực Ngữ Văn 7 - Tập 1 (KN) Từ năm học 2021-2022, chương trình và sách giáo khoa Ngữ văn Trung học cơ sở mới được triển khai dạy và
Đề Thi Tuyển Sinh Vào Lớp 10 Môn Tiếng Anh (Có Đáp Án) Tác giả: Trịnh Thanh Thủy Công ty phát hành: Zenbooks Nhà xuất bản: Thế giới Năm xuất bản: 2025 Giới thiệu về sách Đề Thi Tuyển Sinh Vào Lớp 10 Môn Tiếng Anh Đề Thi Tuyển Sinh Vào Lớp 10 Môn Tiếng Anh (Có Đáp Án) là tài liệu ôn luyện lý tưởng cho học sinh lớp 9 trong giai đoạn nước rút trước kỳ thi vào lớp 10. Cuốn sách tổng hợp các đề thi bám sát cấu trúc chính thức, giúp học sinh làm quen với dạng đề, nâng cao kỹ năng và tự tin bước vào kỳ thi quan trọng này. Nội dung nổi bật của sách - 28 đề thi cập nhật: Bao gồm 10 đề theo cấu trúc TP.HCM, 10 đề theo cấu trúc Hà Nội, và 8 đề thi thực tế từ 2020–2024. - Kiểm tra toàn diện: Đánh giá 5 kỹ năng: Ngữ âm, Từ vựng – Ngữ pháp, Đọc hiểu, Viết lại câu, và Viết luận (tự luận và trắc nghiệm). - Đáp án chi tiết: Hỗ trợ tự học, kiểm tra và đánh giá năng lực bản thân. - Phân chia theo vùng miền: Đáp ứng đặc thù đề thi của Hà Nội và TP.HCM, sát với thực tế. Điểm khác biệt của sách - Cập nhật mới nhất 2025: Phản ánh chính xác cấu trúc và xu hướng đề thi hiện tại. - Thực tiễn cao: Đề thi thực tế từ 2020–2024 giúp học sinh làm quen với áp lực thi thật. - Dễ sử dụng: Phù hợp cho tự học hoặc học cùng giáo viên/gia sư, với đáp án rõ ràng. - Uy tín biên soạn: Được đội ngũ giáo viên giàu kinh nghiệm của Zenbooks xây dựng cẩn thận. Đối tượng phù hợp Cuốn sách dành cho: - Học sinh lớp 9 ôn thi vào lớp 10, muốn nâng cao kỹ năng tiếng Anh. - Phụ huynh hỗ trợ con em ôn luyện hiệu quả cho kỳ thi quan trọng. -
Sách - Hướng dẫn ôn thi tốt nghiệp THPT môn Tin học năm học 2024-2025 (Bộ GD&ĐT công bố ngày 18/10/2024) - NXB Giáo Dục (BÁM SÁT CẤU TRÚC VÀ NỘI DUNG ĐỀ THI MINH
Mục lục: Phần 1: Hóa đại cương Chủ đề 1: Nguyên tử Chủ đề 2: Bảng tuần hoàn các nguyên tố hóa học và định luật tuần hoàn Chủ đề 3: Liên kết hóa học
👁️ 50 | ⌚2025-09-22 06:30:02.977


Giá bộ: 116.000 VNĐ ---------------------- 1. ĐIỀU KỲ DIỆU CỦA THÁI ĐỘ SỐNG Tác giả: Nhiều tác giả Ngày xuất bản: 2020 Kích thước: 13 x 20.5 cm Nhà xuất bản: NXB Tổng hợp TPHCM
Vẻ Đẹp Của Sự Tỉnh Thức Tâm trí chúng ta như một dòng sông cuộn chảy, không ngừng cuốn theo những bộn bề công việc, những lo toan chồng chất, để rồi quên mất rằng
Khởi Chánh Nghiệp là cuốn sách giúp người đi làm và doanh nhân xây dựng sự nghiệp đúng đắn – thiện lành – bền vững bằng cách đưa đạo đức và chánh niệm vào từng
Cuốn sách là tập hợp hơn 30 bài viết được chắt lọc từ quá trình nghiên cứu và trải nghiệm báo chí nhiều năm của tác giả. Điểm đặc biệt của cuốn sách nằm ở
“Cổ học tinh hoa” bao gồm 250 mẩu chuyện, được hai vị học giả thâu lượm và biên soạn lại chủ yếu từ các tích xưa, các sách kinh điển của Trung Hoa thời cổ.
Quay nược thời gian tìm về với một trong những nền văn minh vĩ đại nhất trong lịch sử - đế chế La Mã. Khám phá những thông tin thú vị về cuộc sống của
Quay trở về quá khứ để tìm hiểu xem người Hy Lạp cổ đại đã sống như thế nào. Hơn 350 tranh ảnh, hình minh họa và bản đồ lịch sử. 15 trò chơi thủ
Từ Điển Hình Ảnh Trực Quan - Trong Lòng Đất Nhà xuất bản : Nhà Xuất Bản Kim Đồng. Công ty phát hành : NXB Kim Đồng. Tác giả : Câu Lạc Bộ Trẻ Em.
Bách Khoa Toàn Thư Về Thực Vật, Nấm Và Địa Y - Encyclopaedia Of Plants, Fungi And Lichens - For Young Readers
Bách Khoa Toàn Thư Về Thực Vật, Nấm Và Địa Y - Phiên Bản Dành Cho Giới Trẻ Hẳn bạn đã quen thuộc với cây dừa, mơ, táo, đu đủ, nhưng bạn đã từng nghe
Hẳn bạn đã quen thuộc với cây dừa, mơ, táo, đu đủ, nhưng bạn đã từng nghe tới cọ đum, gọng vó lá tròn, thủy vu, nấm nã chưa?Trên Trái Đất có vô vàn loài
Tên sách Trưởng thành tuổi 40 – Sống yêu thương và biết ơn những gì ta đang có Hạnh phúc bỗng trở nên đơn giản và gần gũi đến lạ kỳ! Tác giả Ngân Om
Bộ sách nhằm giới thiệu đến bạn đọc những tinh hoa về lâm sàng y học - Độc dược biến thành thuốc hữu dụng không? - Chẩn mạch của Tạng y khác Đông y như
Bộ sách nhằm giới thiệu đến bạn đọc những tinh hoa về lâm sàng y học - Độc dược biến thành thuốc hữu dụng không? - Chẩn mạch của Tạng y khác Đông y như
Cuốn Sách Khám Phá Kiến Thức Hay: Awareness - Nhận Biết Điều tôi muốn bạn hiểu ở đây là: Hãy nhận biết thực tại xung quanh bạn. Nhận biết tức là dõi theo, quan sát
Khi Bạn Đang Say Giấc, Ai Đó Đã Đạt Được Ước Mơ - Tác giả: Kim Yoojin - Dịch giả: Mỹ Linh - Thể loại: sách kỹ năng, phát triển bản thân, self-help - Khổ
Tìm hiểu Phật học phổ thông Công ty phát hành: Thái Hà Tác giả: Cư sĩ Đức Minh (sưu tập) Nhà xuất bản: Tôn giáo Số trang: 248 trang Khổ: 13 x 19 cm Năm
Bộ não tí honTập 2: Thay đổi thế giới Cách những bậc cha mẹ thông minh nuôi dạy những đứa trẻ thông minh Hầu hết các ông bố, bà mẹ đều mong muốn con mình
Ăn Dặm Thông Minh - Nuôi Con Mau Lớn Con chóng lớn khỏe mạnh là điều mong mỏi tột cùng của những người làm cha mẹ. Tuy nhiên, thực tế thì việc nuôi con luôn