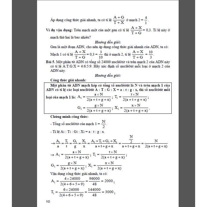
✨SÁCH - Phương pháp mới giải nhanh bài tập di truyền (dùng chung các bộ sgk hiện hành) - HA












SÁCH - Phương pháp mới giải nhanh bài tập di truyền (dùng chung các bộ sgk hiện hành) - HA Từ năm 2010, tác giả Phan Khắc Nghệ đã đưa ra các phương pháp giải nhanh bài tập Di truyền và Các phương pháp giải nhanh bài tập Sinh học giúp giáo viên và học sinh cả nước có cách tiếp cận mới để giải quyết các bài tập Sinh học một cách khoa học, sáng tạo. Theo thời gian, tác giả đã tìm ra ra nhiều phương pháp mới giải quyết các bài toán Sinh học. Các phương pháp mới này chưa có bất kì một tác giả nào công bố. Cuốn sách PHƯƠNG PHÁP MỚI GIẢI NHANH BÀI TẬP DI TRUYỀN là tinh hoa mà thầy Phan Khắc Nghệ đã đúc rút và được công bố để phục vụ bạn đọc. Trong cuốn sách này, tác giả đã đưa ra những cách giải bài tập độc đáo và ngắn gọn nhất, giúp học sinh dễ dàng hiểu được kiến thức trọng tâm và làm tốt các bài thi trong các kì thi tuyển sinh và các kì thi chọn học sinh giỏi. Sách được viết thành 10 chuyên đề, mỗi chuyên đề gồm 3 phần: – Trọng tâm lí thuyết; – Phương pháp giải nhanh các dạng bài tập; – Bài tập rèn luyện. Trong cuốn sách này, mỗi bài tập mẫu là một dạng toán được trình bày ngắn gọn, sau mỗi lời giải đều rút ra công thức tổng quát để học sinh vận dụng làm các bài tập khác, cuối mỗi phần có ghi nhớ các nội dung trọng tâm. Trong hệ thống các bài tập mẫu, những dạng bài tập cơ bản được trình bày trước, sau đó đến các bài tập nâng cao. Hệ thống các bài tập vận dụng được xây dựng theo hướng phục vụ ôn tập cho các kì thi và bồi dưỡng học sinh giỏi. Chúng tôi tin tưởng rằng, cuốn sách không chỉ là một tài liệu tham khảo hữu ích giúp học sinh tự học mà nó còn là một tư liệu quý để giáo viên tham khảo sử dụng trong công tác bồi dưỡng và phụ đạo cho học sinh. Dù rất tâm huyết và dành nhiều thời gian để biên soạn, song do những hạn chế khách quan và chủ quan nên cuốn sách không tránh khỏi còn có thiếu sót nhất định, tác giả rất mong nhận được các ý kiến góp ý để trong lần tái bản sau cuốn sách được hoàn thiện hơn.
Công ty phát hành Nhà Sách HỒNG ÂN Tác Giả Phan Khắc Nghệ Nhà Xuất bản Đại Học Quốc Gia Hà Nội Năm Xuất Bản: 2024 Kích Thước 17x24 cm Số Trang 446 Bìa Mềm




1. 200 Bài Toán Hình Học Lớp 9 Sách được viết theo chương trình giáo dục phổ thông mới, dùng chung cho các bộ sách Giáo khoa hiện hành với mục đích góp thêm các
Sách - Bồi dưỡng học sinh giỏi Toán lớp 7 Bộ sách được biên soạn bởi nhóm tác giả là những thầy cô giáo đã và đang giảng dạy ở các lớp chuyên Toán của
Mô tả sản phẩm Môn Khoa học tự nhiên được xây dựng và phát triển trên nền tảng các khoa học vật lí, hoá học, sinh học và khoa học Trái Đất. Đối tượng nghiên
THÔNG TIN SÁCH Công ty phát hành Nhà Sách Hồng Ân 2 Năm Xuất Bản 2023 Tác Giả Lê Thị Nương Kích Thước 17 x 24cm Nhà Xuất bản Đại Học Quốc Gia Hà Nội
Trong chương trình giáo dục phổ thông tổng thể 2018, cùng với các môn học khác, môn Ngữ văn cũng hướng tới dạy học phát triển năng lực và phẩm chất. Ở chương trình Ngữ
Công ty phát hành Nhà Sách Hồng Ân Tác Giả Kiều Bắc | Nguyễn Thị Hoa | Nguyễn Quốc Khánh Năm Xuất Bản 2024 Kích Thước 17 x 24 cm Nhà Xuất bản Hải Phòng
Combo Hướng Dẫn Học Và Giải Các Dạng Bài Tập Toán 9 Tập 1 + 2 (Bám Sát SGK Kết Nối Tri Thức Với Cuộc Sống) (Bộ 2 Cuốn) 1. Hướng Dẫn Học Và Giải
SÁCH - combo hướng dẫn học và phương pháp giải toán lớp 9 (bám sát sách giáo khoa chân trời sáng tạo bộ 2 cuốn) gồm hướng dẫn học và phương pháp giải toán lớp
Nhà sách Tuệ Tâm trân trọng giới thiệu sách: Phân loại và giải chi tiết các dạng bài tập Toán 9 (Kết nối tri thức với cuộc sống)! Nội dung của mỗi bài học đó
SÁCH - combo hướng dẫn học và phương pháp giải toán lớp 9 (bám sát sách giáo khoa chân trời sáng tạo bộ 2 cuốn) gồm hướng dẫn học và phương pháp giải toán lớp
NỘI DUNG SÁCH Cuốn sách được biên soạn theo từng bài học và chia làm 3 phần. Phần 1: Kiến thức cơ bản và ví dụ. Phần 2: Các dạng toán có phương pháp giải
combo Hướng dẫn học và làm bài làm văn Ngữ Văn 9 gồm Hướng dẫn học và làm bài làm văn Ngữ Văn 9 tập 1 Hướng dẫn học và làm bài làm văn Ngữ
Tác giả: Trịnh Văn Bằng Công ty phát hành: nhà sách Hồng Ân Số trang: 464 Nhà Xuất Bản: Đại Học Quốc Gia Hà Nội Năm xuất bản: 2024 Bìa mềm kích thước 17*24cm ------------------
Combo Toán Nâng Cao Lớp 9 (Bộ 2 Cuốn) 1. Toán Nâng Cao Đại Số 9 Đại số là mảng kiến thức rất quan trọng trong toán học phổ thông. Nhằm giúp các em học
Sách - Cảm thụ, phân tích tác phẩm văn học ngoài sách giáo khoa tác phẩm thơ + tác phẩm truyện - HA Sách - Cảm thụ, phân tích tác phẩm văn học ngoài sách
Sách - Combo Toán Nâng Cao Đại Số + Hình Học Lớp 8 (Dùng Chung Cho Các Bộ SGK Hiện Hành) (Bộ 2 Cuốn) - HA 1. Toán Nâng Cao Đại Số 8 (Dùng Chung
Bộ sách gồm 2 tập nhằm tập trung xây dựng, phát triển và mở rộng kiến thức nền tảng Toán học một cách hệ thống, dễ tiếp cận, giúp các em nắm được một cách
1. Nội dung sách tổng ôn toán học lớp 9 Tập 1 gồm 4 chương: - Chương 1: Căn bậc hai, căn bậc ba. - Chương 2: Hàm số bậc nhất. - Chương 3: Hệ
45 đề chinh phục kì thi vào 10 môn Khoa học tự nhiên 1. Nội Dung : .Cuốn sách được chia làm hai chương chính, mỗi chương có nội dung rõ ràng và mạch
1. Nội Dung Cuốn sách được nhóm tác giả biên soạn dựa trên cấu trúc ĐỀ MINH HOẠ KỲ THI TUYỂN SINH LỚP 10 THPT THEO CHƯƠNG TRÌNH GDPT 2018 mà các SỞ GIÁO DỤC
1. Nội dung sách tổng ôn toán học lớp 9 Tập 1 gồm 4 chương: - Chương 1: Căn bậc hai, căn bậc ba. - Chương 2: Hàm số bậc nhất. - Chương 3: Hệ
1. Nội dung sách Tổng ôn tiếng anh lớp 9 chương trình mới cho 2k10 ôn thi vào 10 Bộ sách Tổng ôn tiếng anh 9 bao gồm 3 tập: + Tập 1: Tổng ôn
Chuyên Đề Bài Tập - Khoa Học Tự Nhiên 7 (Dùng Cho Chương Trình GDPT Mới) Quý Thầy Cô cùng quý phụ huynh kính mến! Các em học sinh thân mến! Năm học 2022 -
Đây là cuốn sổ tổng hợp đầy đủ kiến thức lý thuyết của 5 môn toán lý hóa văn anh giúp các em tra cứu và tổng hợp kiến thức dễ dàng - Khi ôn
Chuyên Đề Bài Tập - Khoa Học Tự Nhiên 7 (Dùng Cho Chương Trình GDPT Mới) Quý Thầy Cô cùng quý phụ huynh kính mến! Các em học sinh thân mến! Năm học 2022 -
Sách - Chinh phục câu hỏi lí thuyết hóa học theo chủ đề ôn thi THPT quốc gia (dùng chung các bộ sgk hiện hành) - HA Các em học sinh thân mến! Trong đề
Sách Tinh tuyển Những bài văn Học sinh giỏi Quốc gia 2025 Cuốn sách này là bộ sưu tập 50 bài văn xuất sắc của các thí sinh đạt giải Nhất, Nhì trong kỳ thi
Combo Định Hướng Và Phát Triển Tư Duy Giải Bài Tập Toán Khó Lớp 8 - Tập 1 + 2 (Dùng Chung Cho Các Bộ SGK Hiện Hành) (Bộ 2 Cuốn) 1. Định Hướng Và
Sách Tham Khảo Toán + Vật Lí + Hóa Học 11 (Dùng Chung Cho Các Bộ SGK Hiện Hành) (Bộ 3 Cuốn) 1. Sách Tham Khảo Toán 11 (Dùng Chung Cho Các Bộ SGK Hiện
250 Bài Toán Chọn Lọc Lớp 6 – Cùng con chinh phục môn Toán Cuốn sách 250+ Bài Toán Chọn Lọc Lớp 5 là tài liệu bổ trợ hoàn hảo dành cho các em học sinh lớp
Sách Tham Khảo Toán + Vật Lí + Hóa Học 11 (Dùng Chung Cho Các Bộ SGK Hiện Hành) (Bộ 3 Cuốn) 1. Sách Tham Khảo Toán 11 (Dùng Chung Cho Các Bộ SGK Hiện
Sách - Combo Giúp em giỏi toán 9/1 + 9/2 (bám sát sgk kết nối tri thức với cuộc sống) - HA Cuốn sách Giúp em giỏi Toán 9 Tập một + Tập hai được
Combo 2 cuốn Chuyên Khảo Đa Thức + Phương Trình Hàm (Bồi Dướng HSG Chuyên Toán - Dùng Chung cho các bộ SGK) HA Công ty phát hành: Nhà Sách Hồng Ân 2 Năm Xuất
1. Hướng Dẫn Học Tốt Ngữ Văn 8 - Tập 1 (Bám Sát SGK Cánh Diều) Công ty phát hành Nhà Sách Hồng Ân Tác Giả Kiều Bắc | Nguyễn Thị Hoa | Nguyễn
Combo Em Học Toán Lớp 9 Tập 1 + 2 (Dùng Chung Cho Các Bộ SGK Hiện Hành) (Bộ 2 Cuốn) 1. Em Học Toán Lớp 9Tập 1 (Dùng Chung Cho Các Bộ SGK
SÁCH - Phương pháp mới giải nhanh bài tập di truyền (dùng chung các bộ sgk hiện hành) - HA Từ năm 2010, tác giả Phan Khắc Nghệ đã đưa ra các phương pháp giải
Combo Hướng Dẫn Học Tốt Ngữ Văn 8 - Tập 1 + 2 (Bám Sát SGK Cánh Diều) (Bộ 2 Cuốn) 1. Hướng Dẫn Học Tốt Ngữ Văn 8 - Tập 1 (Bám Sát SGK
Sách - Bồi dưỡng học sinh giỏi toán 9 (dùng chung cho 3 bộ sgk) Với mỗi dạng bài tập cơ bản đều có phương pháp giải cụ thể và ví dụ minh họa. Ngoài
Sách - Giải chi tiết bộ đề thi trung học phổ thông quốc gia môn tiếng anh Công ty phát hành: Nhà Sách Hồng Ân Tác Giả: Lưu hoằng trí Năm Xuất Bản: 2020 Số
Cuốn sách Bồi Dưỡng Ngữ Văn 8 ( Bám sát sgk kết nối tri thức với cuộc sống)được biên soạn nhằm giúp cho các em học sinh lớp 8 có thể tự học để mở
1. Sách - Mindmap kiến thức Toán Văn Anh Lí Hóa lớp 6 - Dễ hiểu, Làm bài nhanh! - Thông tin chi tiết Công ty phát hành: CÔNG TY TNHH WE UP Nhà xuất
Sách - bồi dưỡng ngữ văn 8 (bám sát sgk kết nối tri thức với cuộc sống)Bám sát SGK “Kết nối tri thức với cuộc sống” Sách được hình thành theo cấu trúc như sau:

Combo Tuyển Tập Đề Và Dàn Bài Kiểm Tra Ngữ Văn 7 ( Dùng Chung Cho Các Bộ SGK Hiện Hành - Bộ 3 Cuốn ) 1. 270 Đề Và Bài Văn Hay Lớp 7
Công ty phát hành Nhà Sách Hồng Ân 2 Năm Xuất Bản 2024 Kích Thước17 x 24 cm Nhà Xuất bản Đại Học Quốc Gia hà Nội Số Trang 439 Bìa Mềm Tác Giả Lưu
Công ty phát hành: Nhà sách Hồng Ân Tác giả: Lưu Hoằng Trí Số trang: 440 Năm xuất bản: 2024 Nhà xuất bản: Đại Học Quốc Gia Hà Nội Tiếng Anh ngày càng trở nên
Công ty phát hành Nhà Sách Hồng Ân Ngày xuất bản 2024 Số trang 446 Nhà xuất bản Nhà Xuất Bản Đại Học Quốc Gia Hà Nội Tác giả: Vĩnh Bá Tài Liệu Ôn Thi
Sách - Combo Toán Nâng Cao Đại Số + Hình Học Lớp 8 (Dùng Chung Cho Các Bộ SGK Hiện Hành) (Bộ 2 Cuốn) - HA 1. Toán Nâng Cao Đại Số 8 (Dùng Chung
1. Phương Pháp Tư Duy Tìm Cách Giải Toán Lớp 6. Bộ sách được biên soạn theo từng chương, từng mục của sách giáo khoa hiện hành giúp học sinh củng cố các kiến thức
SÁCH - sách tham khảo hoá học 12 (dùng chung cho các bộ sgk hiện hành) Năm học 2023 – 2024 các em đã tiếp cận với Chương trình giáo dục phổ thông mới trong
Combo Định Hướng Phát Triển Năng Lực Toán 8 - Tập 1 + 2 (Bám Sát SGK Kết Nối Tri Thức Với Cuộc Sống) (Bộ 2 Cuốn) 1. Định Hướng Phát Triển Năng Lực Toán
Theo xu hướng tự chủ, hiện nay các trường đại học, học viện trong cả nước sử dụng nhiều phương thức tuyển sinh khác nhau, trong đó đặc biệt ưu tiên sử dụng kết quả
Cấu trúc cụ thể của cuốn sách Bộ để kiểm tra, đánh giá Toán 9 như sau: PHẦN 1. ĐỀ KIỂM TRA, ĐÁNH GIÁ Để kiểm tra giữa học kì ! Để
Cấu trúc cụ thể của cuốn sách Bộ để kiểm tra, đánh giá Toán 9 như sau: PHẦN 1. ĐỀ KIỂM TRA, ĐÁNH GIÁ Để kiểm tra giữa học kì ! Để
Combo Khám Phá Khoa Học Tự Nhiên 7 + Tuyển Tập Đề Kiểm Tra Định Kì Khoa Học Tự Nhiên Lớp 7 (Biên Soạn Theo Chương Trình GDPT Mới) (Bộ 2 Cuốn) 1. Khám
Theo xu hướng tự chủ, hiện nay các trường đại học, học viện trong cả nước sử dụng nhiều phương thức tuyển sinh khác nhau, trong đó đặc biệt ưu tiên sử dụng kết quả
Kì thi Đánh giá tư duy năng lực của các trường đại học lớn như: Đại học Quốc gia Hà Nội (HSA), Đại học Quốc gia Thành phố Hồ Chí Minh (APT), Trường Đại học
Nhà xuất bản: NXB Dân Trí Tác giả: Nhiều Tác Giả Loại bìa: Bìa Mềm Số trang: 239 Năm xuất bản: 2023 Nhà phát hành : Sách Nhân Dân =================================== Bộ 30 Đề
Nhà xuất bản: NXB Dân Trí Tác giả: Nhiều Tác Giả Loại bìa: Bìa Mềm S ố trang: 239 Năm xuất bản: 2023 Nhà phát hành : Hồng ân =================================== Bộ 30 Đề Thi Thử
Năm học 2022-2023 là năm học đầu tiên áp dụng giảng dạy môn Khoa học tự nhiên 6 theo chương trình giáo dục phổ thông 2018. Đây là môn học tích hợp các lĩnh vực
Bộ 30 Đề Thi Thử Học Sinh Giỏi Khoa Học Tự Nhiên 6 (Theo Chương Trình Giáo Dục Phổ Thông Mới) Năm học 2022-2023 là năm học đầu tiên áp dụng giảng dạy môn Khoa
👁️ 142 | ⌚2025-10-09 02:26:33.847
Phương Pháp Giải Bài Toán Nghịch & Trội Lặn Không Hoàn Toàn | Quy Luật Phân Li - Sinh Học 12
Sinh học 12: Phương Pháp Giải Bài Tập Mendel – Quy Luật Phân Li Dễ Hiểu, Nhanh Nhớ!
[Sinh Học 12] DẠNG BÀI XÁC ĐỊNH THÀNH PHẦN GENE GIAO TỬ – Quy Luật Phân Li Độc Lập Cực Dễ Hiểu!
[Sinh học 12] Dạng Bài Xác Định Số Loại Giao Tử | Quy Luật Phân Li Độc Lập Dễ Hiểu, Dễ Nhớ
PHƯƠNG PHÁP MỚI GIẢI NHANH BÀI TẬP DI TRUYỀN - PHAN KHẮC NGHỆ (10 CHUYÊN ĐỀ CÓ LỜI GIẢI CHI TIẾT)

Phương Pháp Giải Bài Toán Nghịch & Trội Lặn Không Hoàn Toàn | Quy Luật Phân Li - Sinh Học 12
Sinh học 12: Phương Pháp Giải Bài Tập Mendel – Quy Luật Phân Li Dễ Hiểu, Nhanh Nhớ!
[Sinh Học 12] DẠNG BÀI XÁC ĐỊNH THÀNH PHẦN GENE GIAO TỬ – Quy Luật Phân Li Độc Lập Cực Dễ Hiểu!
[Sinh học 12] Dạng Bài Xác Định Số Loại Giao Tử | Quy Luật Phân Li Độc Lập Dễ Hiểu, Dễ Nhớ
PHƯƠNG PHÁP MỚI GIẢI NHANH BÀI TẬP DI TRUYỀN - PHAN KHẮC NGHỆ (10 CHUYÊN ĐỀ CÓ LỜI GIẢI CHI TIẾT)

-New Design chuyên hàng thiết kế những mẫu chân váy đẹp, mới lạ, thanh lịch công sở, văn phòng, hẹn hò đều đẹp. -Sản phẩm được thiết kế bởi New Design và may tại nhà,
Công suất: 5W Điện áp: 220V/50Hz Màu ánh sáng: Trắng/Vàng Độ rọi: 700 lux - Đèn bàn LED Rạng Đông bảo vệ thị lực - Cần đèn linh hoạt điều chỉnh độ cao và góc
English Name :Screwdriver SoftFinish electric Định mức Thử nghiệm theo tiêu chuẩn IEC 60900. Ứng dụng Đối với công việc trong khu vực của các bộ phận trực tiếp lên đến 1.000 V AC.
Mã đặt hàng 00822 Size 3,5 Chiều dài (mm) 204
Thông tin sản phẩm Tên sản phẩm: D6317 Dung tích: 300ml Quy cách: 6 chiếc/bộ Xuất sứ: Pháp Sản xuất: Trung Quốc Chất liệu: - Thủy tinh - Thủy tinh sạch không chì, không chứa
Cuốn hồi ký Gia đình, bạn bè và đất nước là lời tự sự chân thành và sâu sắc của bà Nguyễn Thị Bình – nhà ngoại giao lỗi lạc, biểu tượng kiên cường của
Có Lẽ Bạn Nên Gặp Bác Sĩ Tâm Lý ------------ Có Lẽ Bạn Nên Gặp Bác Sĩ Tâm Lý Với vai trò là nhà trị liệu đồng thời phải tiến hành trị liệu, Lori
COMBO TRANH TRUYỆN EHON - NHỮNG NGƯỜI BẠN ĐỘNG VẬT CÙNG CÁC BẠN ĐỘNG VẬT DỄ THƯƠNG HỌC HỎI VỀ CUỘC SỐNG VÀ RÈN LUYỆN KỸ NĂNG CẦN THIẾT Trong cuộc sống hiện đại
Sinh Ra Là Một Bản Thể Đừng Chết Như Một Bản Sao (Tái Bản ) Nếu câu trả lời là "CÓ" thì đã đến lúc bạn nên đọc Sinh ra là một bản thể, đừng chết
tiết lộ nguồn gốc của phần lớn khoa học hiện đại về hoạt động buôn bán nô lệ xuyên Đại Tây Dương vào những năm 1700, cũng như vai trò của Thomas Edison với sự
Combo 2 Quyển Giúp Bạn Quản Lí Cuộc Sống Cá Nhân: 40 Thói Quen Xấu Cần Vứt Bỏ + 50 Bài Học Cơ Bản Để Trở Thành Người Lịch Thiệp "Nhắc tới Tokio Godo hẳn
- Bút marker chất lượng cao được thiết kế có thể vẽ nét và sắc màu rất mượt, tô êm và mịn, phù hợp với người mới học vẽ - Có thể vẽ được trên
VÀ RỒI TÍN GẬY ĐÃ ĐƯỢC TRAO ĐI Mất mẹ từ khi còn rất nhỏ, Yuko sống với bố cho tới khi học lớp Hai, cô Rika xuất hiện. Những tưởng từ đây sẽ được
Sổ bìa bồi kẻ ngang B5 300 trang Hồng Hà Subject - 4536 phù hợp cho học sinh, sinh viên, văn phòng ghi chép thông tin cần thiết. Bề mặt giấy láng mịn, viết êm
Tua vit cách điện Wiha 42376 Kích thước bit: SL 2,5 Chiều dài lưỡi: 65mm Tổng chiều dài:167mm Phù hợp với tiêu chuẩn: VDE
Mã đặt hàng :01290 Size : T10 Chiều dài : 191 mm
Bộ Sách Đắc Nhân Tâm + Quẳng Gánh Lo Đi Và Vui Sống + Nghệ Thuật Nói Trước Công Chúng 1. Đắc Nhân Tâm - Cuốn sách hay nhất mọi thời đại đưa bạn đến
Những Người Gần Như Hoàn Hảo - Sự Thật Về Phép Màu Bắc Âu Một bức tranh đa sắc và hóm hỉnh đã hiện lên, làm bừng tỉnh sự thật về vùng đất có
ENNEAGRAM CĂN BẢN Enneagram là một hệ thống tính cách đầy năng lượng và linh hoạt, miêu tả chín mô hình cơ bản khác biệt nhau về cách suy nghĩ, cảm xúc và hành động.
Món Quà Của Linh Hồn - Sức Mạnh Chữa Lành Của Những Thử Thách Trong Cuộc Sống Dù con đường của bạn có bằng phẳng hay gập ghềnh, dù cuộc đời của bạn có